Найти в Дзене
Техночтиво

Самая дружелюбная резьба. Метрическая резьба.

Без преувеличения, так и есть. Те кто часто сталкиваются с различными резьбами не дадут соврать - метрическая резьба сама адекватная и простая в понимании и измерении. Метрическая резьба - нарезанный по винтовой линии профиль на наружных или внутренних поверхностях, форма выступов и впадин которого формируют равнобедренный треугольник. А метрическая она потому как все ее параметры измеряются в миллиметрах! Для резьбы характерны следующие параметры: D - номинальный наружный диаметр внутренней резьбы; d - номинальный наружный диаметр наружной резьбы; D2 - номинальный средний диаметр внутренней резьбы; d2 - номинальный средний диаметр наружной резьбы; D1 - номинальный внутренний диаметр внутренней резьбы; d1 - номинальный внутренний диаметр наружной резьбы; d3 - номинальный внутренний диаметр наружной резьбы по дну впадины; H - высота исходного треугольника резьбы; P - шаг резьбы. ГОСТ метрической резьбы 8724-2002, там можно найти требования к параметрам шага резьбы и ее диаметра. В ГОСТ

Без преувеличения, так и есть. Те кто часто сталкиваются с различными резьбами не дадут соврать - метрическая резьба сама адекватная и простая в понимании и измерении.

Метрическая резьба - нарезанный по винтовой линии профиль на наружных или внутренних поверхностях, форма выступов и впадин которого формируют равнобедренный треугольник. А метрическая она потому как все ее параметры измеряются в миллиметрах!

Профиль метрической резьбы
Профиль метрической резьбы

Для резьбы характерны следующие параметры:

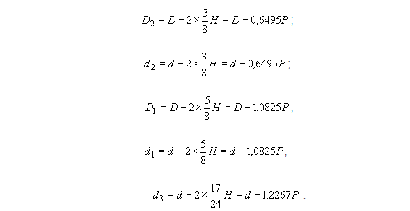
D - номинальный наружный диаметр внутренней резьбы;

d - номинальный наружный диаметр наружной резьбы;

D2 - номинальный средний диаметр внутренней резьбы;

d2 - номинальный средний диаметр наружной резьбы;

D1 - номинальный внутренний диаметр внутренней резьбы;

d1 - номинальный внутренний диаметр наружной резьбы;

d3 - номинальный внутренний диаметр наружной резьбы по дну впадины;

H - высота исходного треугольника резьбы;

P - шаг резьбы.

ГОСТ метрической резьбы 8724-2002, там можно найти требования к параметрам шага резьбы и ее диаметра.
В ГОСТ 9150-2002 можно найти требования к профилю.
В ГОСТ 16093-2004 оговариваются допуска.

Все значения диаметров и высоту исходного треугольника резьбы можно без труда вычислить через шаг P, достаточно заглянуть в ГОСТ 24705-2004. Ну или посмотреть на формулы ниже:

H = 0.866025404P
H = 0.866025404P

На чертежах резьба изображается таким образом:

-3

Любая резьба имеет свое уникальное обозначение. Метрическая обозначается буквой "М", после ставят номинальный диаметр, а затем через тире поле допуска.

Например М20-6H. Увидев эту надпись, любой уважающий себя технарь узнает о резьбе все что нужно. Т.е. - это метрическая резьба диаметром 20 мм, со стандартным (крупным) шагом, с полем допуска по 6H.

Думаю, в поля допусков углубляться не будем, скажу лишь, что есть грубый, средний и точный допуск.

Жирным выделены предпочтительные
Жирным выделены предпочтительные

А вот что значит "Стандартный" или крупный шаг?

Дело в том, что у метрических резьб существует определенный диапазон шагов и вот самый крупный из них является типа основным, который даже не пишут, если мы видим надпись М20-6Н, то знаем, что шаг здесь 2,5 мм.

-5

Если же, нужно указать какой-то другой шаг, то обозначение выглядит так:

-6
Кстати, Вы могли заметить, что фаска, которая была при М20 - 2,5х45, превратилась в 1,6х45. Это связано с тем, что для каждого шага резьбы есть свои предпочтительные размеры фасок по ГОСТ 10549-80 и этого нужно придерживаться. Также, там можно найти сбеги и недорезы.
Фаска на резьбе - важный элемент. Она банально облегчает сборку.

Резьбы к тому же бывают правые и левые. Правая - стандартная, а потому обозначения не имеет, а вот левую помечают буквами "LH":

-7

Метрических многозаходных резьбы ни в жизни не видел, но они где-то точно есть и имеют сложное обозначение:

M20xPh3P1,5 - двухзаходная резьба с номинальным диаметром 20 мм, ходом 3 мм и шагом 1,5 мм. Чтобы никто не запутался в скобочках можно дописать "два захода".

Наша родимая ГОСТовская метрическая резьба по ГОСТ 8724-2002 соответствует международному ISO 261-98, за исключением того что в нашем стандарте резьбы от 0,25 до 600 мм, а в международном от 1 до 300 мм.

Применение

Ну, применение у нее самое широкое от крепежа до винтовых пар инструментов и приборов!

Наверное, это все что я хотел написать про метрическую резьбу, если есть что дополнить, обязательно прокомментируйте.

В следующий раз, постараюсь рассказать о "китайской" резьбе, которая на самом деле вовсе не китайская, а самая настоящая американская...