Добавить в корзинуПозвонить
Найти в Дзене
Математика не для всех

Дробная производная? Оказывается, есть и такое. Покажу на очень простом примере

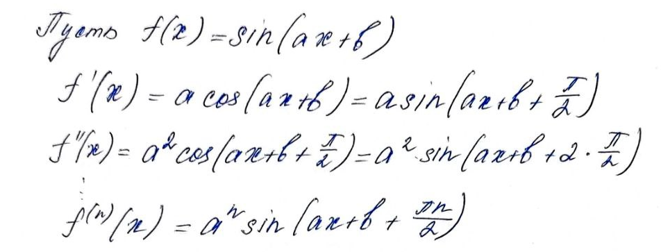
Квадратное уравнения имеет 4 корня, число Пи может быть равно 2, факториал можно вычислить для нецелого аргумента - обо всё этом я писал на своём канале...Сегодня я хочу выдать Вам еще один замечательный математический этюд. Давайте подумаем, как возвести число в 4-ю степень? Ну , например, сначала возвести в квадрат, а затем еще раз; или же возвести в 8-ю степень, а потом в степень 1/2. Ничего же противоестественного нет! То же самое и с производной: вторую производную от функции можно получить последовательно применяя операцию дифференцирования. Напрашивается такой вопрос: а есть ли такой оператор (назовём его А), что если его применить к функции ДВА раза, то получится обычная производная? Оказывается, и это доказывается в курсе продвинутого математического анализа, такие операторы существуют и в самом обобщенном случае. Давайте лучше на простом примере: Что мы сделали выше? Мы нашли обобщенную формулу производной n-ного порядка для указанной функции. А теперь моё любимое: подстави

Квадратное уравнения имеет 4 корня, число Пи может быть равно 2, факториал можно вычислить для нецелого аргумента - обо всё этом я писал на своём канале...Сегодня я хочу выдать Вам еще один замечательный математический этюд.

Давайте подумаем, как возвести число в 4-ю степень? Ну

, например, сначала возвести в квадрат, а затем еще раз; или же возвести в 8-ю степень, а потом в степень 1/2. Ничего же противоестественного нет!

То же самое и с производной: вторую производную от функции можно получить последовательно применяя операцию дифференцирования.

Напрашивается такой вопрос: а есть ли такой оператор (назовём его А), что если его применить к функции ДВА раза, то получится обычная производная?

Оказывается, и это доказывается в курсе продвинутого математического анализа, такие операторы существуют и в самом обобщенном случае. Давайте лучше на простом примере:

-2

Что мы сделали выше? Мы нашли обобщенную формулу производной n-ного порядка для указанной функции.

А теперь моё любимое: подставим вместо n число 1/2. Посмотрим, что получилось:

-3

"Ну и что, скажете Вы, - это какое-то искусственное сооружение" В ответ на это я применю операцию вычисления дробной производной еще разок:

-4

Мы получили как раз тот самый оператор A (некое правило вычисления), который при двойном применении к функции возвращает её производную. Будем называть его полупроизводной.

Естественно, никакой сложности не составит обобщить этот случай для производной порядка 1/n.

Первопроходцами применения дробной производной как обобщенного случая знакомой нам со школы операции являются математики Лопиталь, Лейбниц и Абель.

Операция - далеко не бесполезная, хотя и не имеет такого явного физического смысла как её полноценная сестра.

Источник: https://kabk.github.io/go-theses-18-asya-sukhorukova-manipulative-canvas/img/img7.png
Источник: https://kabk.github.io/go-theses-18-asya-sukhorukova-manipulative-canvas/img/img7.png

Дробная производная возникает в огромном количестве практических задач в метеорологии, химии, применяется при моделировании перемещения потоков жидкости, распространения сложных акустических колебаний и, конечно, на самом переднем крае науки - квантовой физике.

Конечно, рассказанное мной не претендует ни на какую математическую строгость, ведь, чтобы рассказать о дробной производной нужно знать немного больше школьного курса математики. Несмотря на это, в следующих выпусках я на очень простом языке это сделаю.

Хотите разобраться, почему полупроизводная х равна такому странному выражению?
Хотите разобраться, почему полупроизводная х равна такому странному выражению?

Там еще много интересного! Например, дробная производная константы отнюдь не равна нулю!

Подписывайтесь на канал! Ставьте "Нравится" этой публикации, мотивируя меня писать дальше. Спасибо за внимание!

Читайте также:

Наука
7 млн интересуются