Найти в Дзене

Навигация. Метод счисления пути воздушного судна .

Основной задачей навигации является вывод ЛА с допустимой степенью точности в заданный пункт по заданному маршруту и в заданное время. Для этой цели используются различные методы определение местоположения воздушного судна в пространстве. Выделяют три основных способа навигации: В этой статье постараемся разобраться, что же такое счисление пути, каков его механизм вычисления, и где реализуется данный метод. Любой способ определения координат местоположения воздушного судна представляет собой получение информации от датчиков первичной информации ( ДПИ) и либо преобразование их в координаты или получение готовых координат. Отличие пилотажно-навигационных комплексов, а в частности навигационного контура, используюших различные методы навигации - это способы получения первичной навигационной информации (инерциальные, радиотехнические, астрономические, светотехнические, геотехнические) характером взаимодействия с окружающей средой (автономные, неавтономные, смешанные) и способом определ

Основной задачей навигации является вывод ЛА с допустимой степенью точности в заданный пункт по заданному маршруту и в заданное время.

Для этой цели используются различные методы определение местоположения воздушного судна в пространстве.

Выделяют три основных способа навигации:

  1. Счисление пути;
  2. Обзорно-сравнительный;
  3. Позиционный.

В этой статье постараемся разобраться, что же такое счисление пути, каков его механизм вычисления, и где реализуется данный метод.

Любой способ определения координат местоположения воздушного судна представляет собой получение информации от датчиков первичной информации ( ДПИ) и либо преобразование их в координаты или получение готовых координат.

Отличие пилотажно-навигационных комплексов, а в частности навигационного контура, используюших различные методы навигации - это способы получения первичной навигационной информации (инерциальные, радиотехнические, астрономические, светотехнические, геотехнические) характером взаимодействия с окружающей средой (автономные, неавтономные, смешанные) и способом определения координат местоположения ЛА (счисления пути, линий и поверхностей положения и обзорно-сравнительный).

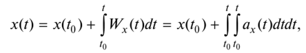
Метод счисления пути основан на получении координат местоположения ВС путём интегрирования по времени измеренных ускорений относительно осей связанной системы координат ВС, с помощью платформенной или бесплатформенной инерциально-навигационой системы, или путём двойного интегрирования по времени истиной скорости ВС полученной измерителями воздушной скорости, на пример ДИСС ( доплеровский измеритель скорости и угла сноса).

где х(/0) — начальное значение координаты, известное заранее; Wx — скорость по координате х; ах — ускорение по координате х.
где х(/0) — начальное значение координаты, известное заранее; Wx — скорость по координате х; ах — ускорение по координате х.

Достоинства метода — непрерывность получения информации об координатах ВС от ДПИ, автономность, высокая надёжность.

Основной недостаток — ухудшение точности определения координат со временем, это возникает из-за накопления составляющих медленноменяющихся ошибок измерения ДПИ скорости и ускорения, такие как уход нуля гороскопа, дрейф гороскопа, вибрации и.т.д.