Добавить в корзинуПозвонить
Найти в Дзене
Максим Лазутин

Химия. Электролиз

Электролизом называют разложение растворов и расплавов электролитов под действием электрического тока. Электролиз является окислительно-восстановительных реакций, где роль окислителя и восстановителя играют электроды. Электроды В электролизе имеется два электрода: 1) Катод (обозначается, как К(-)) - восстановительный электрод, к которому притягиваются положительные ионы (катионы). Там происходит восстановление водорода либо ионов металлов. 2) Анод (обозначается, как А(+)) - окислительный электрод, к которому притягиваются отрицательные ионы (анионы). На этом электроде происходит окисление кислорода либо анионов кислот. Правила электролиза Существуют три основных правила для составление уравнений электролиза. 0) Написать уравнение диссоциации электролита 1) Если металл находится в ряду напряжений до алюминия включительно, но на катоде будет восстанавливается водород. Если металл находится в ряду напряжений от алюминия до водорода, то на катоде будут одновременно восстанавливаются водоро
Оглавление

Электролизом называют разложение растворов и расплавов электролитов под действием электрического тока. Электролиз является окислительно-восстановительных реакций, где роль окислителя и восстановителя играют электроды.

Электроды

В электролизе имеется два электрода:

1) Катод (обозначается, как К(-)) - восстановительный электрод, к которому притягиваются положительные ионы (катионы). Там происходит восстановление водорода либо ионов металлов.

2) Анод (обозначается, как А(+)) - окислительный электрод, к которому притягиваются отрицательные ионы (анионы). На этом электроде происходит окисление кислорода либо анионов кислот.

Правила электролиза

Существуют три основных правила для составление уравнений электролиза.

0) Написать уравнение диссоциации электролита

1) Если металл находится в ряду напряжений до алюминия включительно, но на катоде будет восстанавливается водород. Если металл находится в ряду напряжений от алюминия до водорода, то на катоде будут одновременно восстанавливаются водород и металл. У металлов правее водорода восстанавливается только металл

2) Анионы галогенидов (кроме фтора) и других простых анионов окисляются до простых веществ.

3) Фториды и кислород содержащие анионы на аноде не окисляются, вместо них окисляется кислород воды.

Примеры

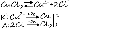
1) Электролиз хлорида меди (II)

Здесь у нас будет восстанавливаться медь и окисляться хлор:

-2

Теперь записываем полное ионное уравнение:

-3

И молекулярное уравнение:

-4

2) Электролиз хлорида алюминия:

-5

На аноде будет окисляться хлор, а на катоде - одновременно восстанавливаться водород:

-6

Молекулярное уравнение будет выглядеть так:

-7