Добавить в корзинуПозвонить
Найти в Дзене
Теория всего

Квантовая механика – что это такое и зачем она нужна?

Квантовая механика родилась как необходимость, чтобы объяснить результаты некоторых опытов, которые не могла объяснить классическая теория. Первое. Возникли трудности с опытом Юнга. Не понятно было, как одна и та же частица может пролезать через две разные щели одновременно. Родился корпускулярно-волновой дуализм, который никому невозможно представить. Все должны просто в это верить и запомнить это. Других опытов, подтверждающих этот дуализм, пока не наблюдается. Опыт Юнга и ошибки в его истолковании можно найти по ссылке. Второй казус возник с планетарной моделью атома Резерфорда. Когда он представил свою модель, то мудрецы сразу же выдвинули теорию: электрон, вращается с большой скоростью вокруг ядра в результате чего должен излучать энергию и в конце концов упасть на ядро. А этот электрон никуда не падал и никуда не улетал. Но то ли эти мудрецы забыли или и не знали об опытах Кауфмана и наличие у ядра магнитного поля (может быть тогда об этом никто не знал) так как не учли все это

Квантовая механика родилась как необходимость, чтобы объяснить результаты некоторых опытов, которые не могла объяснить классическая теория.

Первое. Возникли трудности с опытом Юнга. Не понятно было, как одна и та же частица может пролезать через две разные щели одновременно. Родился корпускулярно-волновой дуализм, который никому невозможно представить. Все должны просто в это верить и запомнить это. Других опытов, подтверждающих этот дуализм, пока не наблюдается. Опыт Юнга и ошибки в его истолковании можно найти по ссылке.

Второй казус возник с планетарной моделью атома Резерфорда. Когда он представил свою модель, то мудрецы сразу же выдвинули теорию: электрон, вращается с большой скоростью вокруг ядра в результате чего должен излучать энергию и в конце концов упасть на ядро. А этот электрон никуда не падал и никуда не улетал. Но то ли эти мудрецы забыли или и не знали об опытах Кауфмана и наличие у ядра магнитного поля (может быть тогда об этом никто не знал) так как не учли все это в своих рассуждениях.

Пришлось Бору постулировать: у атома есть такие уровни (орбиты), где электрон летает и ничего не излучает. Все остолбенели и перестали искать силы, которые не позволяют электрону упасть на ядро, а про силы, удерживающие электрон в составе атома, даже и не думали, да и сейчас ученые и не подозревают, что такие силы существуют в виде обменного фотона.

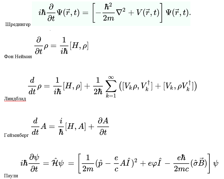
Все бросились математикой доказывать существование таких утверждений. Я вот взял прямо с Википедии не большой список ученых, которые в этом особо преуспели:

К списку можно еще добавить многих.

Вы главное не пугайтесь этих формул. В этих формулах элементы, выделенные розовым цветом, называются гамильтонианом. Он описывает энергию, которая участвует в решении этой задачи. Это может быть потенциальная энергия, кинетическая энергия, упругая энергия и т.д. Вот в гамильтониане Шредингера расписаны кинетическая энергия, например, электрона и потенциальная энергия протона (электрическое поле). А под дифференциалами искомые функции, то есть при таком-то гамильтониане надо найти такую функцию, которая удовлетворяла бы этому уравнению. Обычно решение находится в виде синусов, косинусов и других колеблющихся функций. В общем волна и точка. Функция волновая.

Вот эту задачу для атома водорода и решает Ричард Фейнман в своих лекциях: “Том 9. Глава 17. Атом водорода и периодическая таблица”. http://t-z-n.ru/archives/tom9.pdf. Правда он допускает не поправимую ошибку – исключает, вернее не вводит в гамильтониан, магнитное поле протона, которое как раз и не позволяет электрону упасть на протон. Ну да ладно этого пока никто не понимает.

Дальше он градуирует потенциал на определенные участки с энергией En=ER/n*2. Называет число n – главным квантовым числом. Для кинетической энергии вводится число l, как полагает Фейнман оно квантует орбитальный момент.

Затем решает это уравнение и поучает такие результаты.

-2

Как видите везде волны. Ясно что функция волновая. Но это волны чего? Как эта волна связана с частицей, чтобы объяснить корпускулярно-волновой дуализм? Волна относится к самому телу электрона, чего требует этот самый дуализм, или к поведению электрона, что никак не входит в дуализм? Надо бы объяснить дуализм самого электрона, без относительно того где он находится, а Фейнман решает задачу – где он находится, как частица. Женится, и обещать женится – разные вещи.

Не знаю, как эти теоретические расчеты Фейнмана вписываются в серии Ридберга, Лаймана, Бальмера и других.

Других описаний чего-либо я пока не нашел. Да думаю их по логике и быть то не должно. Действительно, если атом водорода Фейнман верно описал при помощи уравнения Шредингера, то с необходимостью такие же результаты должны будут получится у любого ученого, описывающего атом водорода пользующихся фомулами Неймана, Линдбада и другими.

По этой причине утверждение, что “квантовая механика адекватно описывает основные свойства и поведение атомов, ионов, молекул, конденсированных сред и других систем с электронно-ядерным строением” (Википедия) кажется весьма сомнительным.

К сожалению, не нахожу и не могу представить хоть какую-то значимую область явлений, где квантовая механика помогла бы что-нибудь решить.

Вы можете представить какое-то участие принципов этой механики в автомобиле строении. Автомобиль уже был, а волновой функции не было. Может быть паровозы или пароходы, у которых гребные винты рассчитываются с применением волновых функций. Все это было до гения Шредингера. У Эдисона вообще не было никакого образования, а его лампочки светят. Тогда следует искать следы применения этих функций в более поздних явлениях? Ракеты. Пользовались ли Мещерский или Циолковский квантовой механикой, да еще и с необходимостью, как с законами? Ой, ли. А компьютер? Вот булева алгебра в компьютерах применялась и применяется, а дуализм не применяется до сих пор, хотя и пытаются построить квантовый компьютер. Где, где может применятся идеология квантовой механики? В атомной сфере, в радио, в телекоммуникациях или в любых других процессах передачи информации или энергии?

Назовите мне хоть одну из областей бытия, в которой сидел бы ученый и рассчитывал бы поведение “атомов, ионов, молекул”. Может это в молекулярной биологии ученый рассчитывает, как происходит репликация, митоз, параметры вакцины и так далее? Покажите такого ученого, у которого на вооружении была бы волновая функция, за исключением преподавателей, для которых волновая функция – хлеб. Да легче найти самого замаскированного шпиона, чем такого ученого.

В заключение можно сказать, что такая квантовая механика с ее нынешними законами человечеству приносит больше вреда, нежели пользы.