Найти в Дзене

ЕГЭ профиль №12 Наименьшее значение функции

Найдите наименьшее значение функции y = e²ⁿ - 5eⁿ - 2 на отрезке [-2; 1]. Решение: В предыдущих задачах мы уже рассматривали алгоритм поиска точки минимума/максимума функции. Напомним его еще раз: Наименьшее значение функции - это значение функции в точке минимума, принадлежащей заданному отрезку. Итак, найдем производную: Приравняем производную к нулю и решим уравнение: Расставим на числовой прямой знаки производной: Схематично изобразим поведение функции: если функция возрастает, производная положительна; если функция убывает, производная отрицательна. Максимум - переход с возрастания на убывание. Минимум - переход с убывания на возрастание. Убедимся в том, что точка минимума принадлежит отрезку, указанному в условии задачи: Тогда наименьшее значение функции: Ответ: -8,25 Продолжение следует >>

Найдите наименьшее значение функции y = e²ⁿ - 5eⁿ - 2 на отрезке [-2; 1].

Решение:

В предыдущих задачах мы уже рассматривали алгоритм поиска точки минимума/максимума функции. Напомним его еще раз:

  1. Найти производную;
  2. Приравнять ее к нулю и решить уравнение;
  3. На числовой прямой расставить знаки производной с учетом ОДЗ;
  4. Расставить стрелки, характеризующие поведение функции;
  5. Точка максимума - переход с возрастания функции на убывание.
    Точка минимума - переход с убывания функции на возрастание.

Наименьшее значение функции - это значение функции в точке минимума, принадлежащей заданному отрезку.

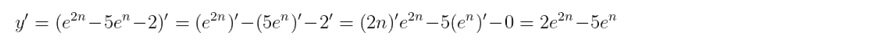
Итак, найдем производную:

-2

Приравняем производную к нулю и решим уравнение:

-3

Расставим на числовой прямой знаки производной:

-4

Схематично изобразим поведение функции: если функция возрастает, производная положительна; если функция убывает, производная отрицательна.

-5

Максимум - переход с возрастания на убывание. Минимум - переход с убывания на возрастание.

-6

Убедимся в том, что точка минимума принадлежит отрезку, указанному в условии задачи:

-7

Тогда наименьшее значение функции:

-8

Ответ: -8,25

Продолжение следует >>