Добавить в корзинуПозвонить
Найти в Дзене

Окисление в органике 2 часть

Здравствуйте дорогие читатели, поздравляю всех с 1 сентября, теперь я 11 классе. В этой статье я расскажу про окисление: спиртов, альдегидов, кетонов и фенола. Чтобы не пропустить следующую статью подписывайтесь на канал и ставьте лайки, также обязательно дочитывайте статью до конца. Поехали Спирты муравьиную кислоту можно получить только в две стадии, при жёстком окислении метанол окисляется до углекислого газа Альдегиды Ничего сложного Кетоны Идёт разрыв, образуется смесь карбоновых кислот. На ЕГЭ - нет. Голову можно не забивать. Фенолы Фенол окисляется очень легко, даже на воздухе. На ЕГЭ не знаю, но лучше конечно брать перманганат, потому что ниже схема, а не уравнение. На этом всё. Ставьте лайки подписывайтесь на канал. Спасибо за внимание. Вам может быть интересно: Химия: Курс электролиз. Материал для ЕГЭ Курс электролиз. Решение задач из ЕГЭ. 1 часть Курс электролиз. Решение задач из ЕГЭ. 2 часть Особые реакции в органической химии Физика: Можно ли в ртутный столб налить воду вм
Оглавление

Здравствуйте дорогие читатели, поздравляю всех с 1 сентября, теперь я 11 классе. В этой статье я расскажу про окисление: спиртов, альдегидов, кетонов и фенола. Чтобы не пропустить следующую статью подписывайтесь на канал и ставьте лайки, также обязательно дочитывайте статью до конца. Поехали

Яндекс картинки
Яндекс картинки

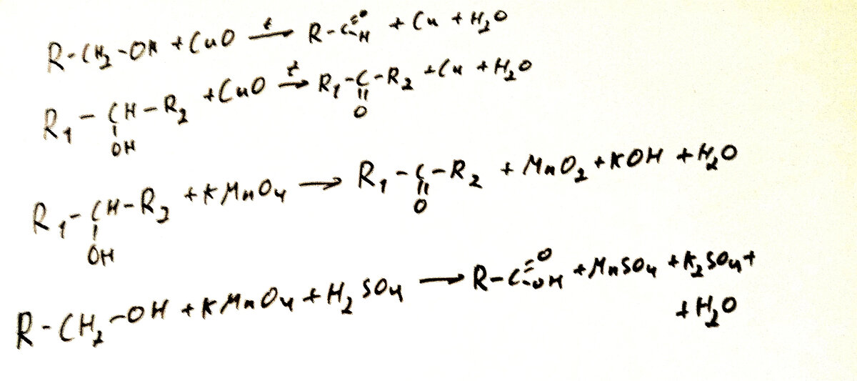
Спирты

-2

муравьиную кислоту можно получить только в две стадии, при жёстком окислении метанол окисляется до углекислого газа

-3

Альдегиды

Ничего сложного

-4

Кетоны

Идёт разрыв, образуется смесь карбоновых кислот. На ЕГЭ - нет. Голову можно не забивать.

Фенолы

Фенол окисляется очень легко, даже на воздухе. На ЕГЭ не знаю, но лучше конечно брать перманганат, потому что ниже схема, а не уравнение.

-5
На этом всё. Ставьте лайки подписывайтесь на канал. Спасибо за внимание.

Вам может быть интересно:

Химия:

Курс электролиз. Материал для ЕГЭ

Курс электролиз. Решение задач из ЕГЭ. 1 часть

Курс электролиз. Решение задач из ЕГЭ. 2 часть

Особые реакции в органической химии

Физика:

Можно ли в ртутный столб налить воду вместо ртути и измерить атмосферное давление?

При каком угле наклона скатится любое тело?