Добавить в корзинуПозвонить
Найти в Дзене
Математика не для всех

Теорема тангенсов. Вы вообще слышали про неё?

Приветствую Вас, уважаемые Читатели! В школе каждый из Вас обязательно встречался с теоремами синусов и косинусов. Вот их формулировки, если кто забыл: Но кто из Вас слышал о теореме тангенсов, ведь она же напрашивается по аналогии! И действительно, такая формулировка существует, а сейчас покажу Вам её простой вывод! Поехали! Использовать будет теорему синусов. Положим: А теперь рассмотрим такое выражение: Используем известные формулы суммы и разности синусов: И получаем в два счета выражение, которое и называется теоремой тангенсов: Впервые теорема была получена в XIII веке персидским математиком Насиром ад-Дином Ат-Туси. Кроме того её называют формулой Региомонтана по имени немецкого астронома и математика Иоганна Мюллера (лат. Regiomontanus), установившего эту формулу уже в XV веке. Тангенсы - вообще интересная шутка. Вы знаете, например, что сумма тангенсов углов треугольника равна их произведению? Я об этом обязательно расскажу! Спасибо за внимание! Ставьте "Нравится" этой статье

Приветствую Вас, уважаемые Читатели! В школе каждый из Вас обязательно встречался с теоремами синусов и косинусов. Вот их формулировки, если кто забыл:

Но кто из Вас слышал о теореме тангенсов, ведь она же напрашивается по аналогии! И действительно, такая формулировка существует, а сейчас покажу Вам её простой вывод! Поехали!

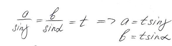
Использовать будет теорему синусов. Положим:

-2

А теперь рассмотрим такое выражение:

-3

Используем известные формулы суммы и разности синусов:

-4

И получаем в два счета выражение, которое и называется теоремой тангенсов:

-5

Впервые теорема была получена в XIII веке персидским математиком Насиром ад-Дином Ат-Туси.

Источник: https://photokade.com/wp-content/uploads/khajenasir-tosi-photokade-4.jpg
Источник: https://photokade.com/wp-content/uploads/khajenasir-tosi-photokade-4.jpg

Кроме того её называют формулой Региомонтана по имени немецкого астронома и математика Иоганна Мюллера (лат. Regiomontanus), установившего эту формулу уже в XV веке.

Тангенсы - вообще интересная шутка. Вы знаете, например, что сумма тангенсов углов треугольника равна их произведению? Я об этом обязательно расскажу!

Спасибо за внимание! Ставьте "Нравится" этой статье и подписывайтесь на канал!

Читайте также: