Найти в Дзене

Винни-Пух на диете или все не так страшно? Задание ОГЭ 15(2)

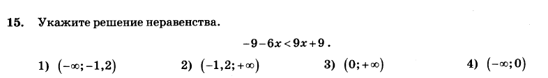
Всем привет! Вы конечно же смотрели мультик про Винни-Пуха и помните этот момент, когда мудрый и воспитанный Кролик говорит: Да медведю-же без этого никак. Ну вы только представьте себе этого худенького, стройного как Кролик Винни-Пуха. Он же зимой сразу замерзнет. Каждому свое. видимо. Ну это я так думаю, а что подумал Кролик никто не узнал, потому что он был очень воспитанный. Кстати в пятнадцатом задании речь тоже пойдет о том, что такое больше и меньше. Смотрите и знакомьтесь: это неравенство! Вот оно: Первым делом в линейном неравенстве надо перенести буквенные выражения в одну часть, а числовые в другую. При переносе компонента из одной части в другую его знак меняется на противоположный. Таким образом мы получаем: Упростим выражения в обеих частях неравенства и получим: Теперь пора избавиться от числа -15. Для этого неравенство надо разделить на это самое число -15 и не забыть что при делении неравенства на отрицательное число знак неравенства меняется на противоположный (в наше

Всем привет!

Вы конечно же смотрели мультик про Винни-Пуха и помните этот момент, когда мудрый и воспитанный Кролик говорит:

Да медведю-же без этого никак. Ну вы только представьте себе этого худенького, стройного как Кролик Винни-Пуха. Он же зимой сразу замерзнет. Каждому свое. видимо. Ну это я так думаю, а что подумал Кролик никто не узнал, потому что он был очень воспитанный. Кстати в пятнадцатом задании речь тоже пойдет о том, что такое больше и меньше. Смотрите и знакомьтесь: это неравенство! Вот оно:

-2

Первым делом в линейном неравенстве надо перенести буквенные выражения в одну часть, а числовые в другую. При переносе компонента из одной части в другую его знак меняется на противоположный. Таким образом мы получаем:

-3

Упростим выражения в обеих частях неравенства и получим:

-4

Теперь пора избавиться от числа -15. Для этого неравенство надо разделить на это самое число -15 и не забыть что при делении неравенства на отрицательное число знак неравенства меняется на противоположный (в нашем случае вместо знака меньше, станет больше). Получим:

-5

Если прочитать вслух то, что мы получили, то прозвучит: "Икс больше чем минус одна целая две десятых". Перефразируем и поймем, что нас устроят все числа от -1,2 (не считая самого числа) и до бесконечности.

Получаем такой ответ:

-6

Это вариант ответа под номером 2.

Ответ: 2