Найти в Дзене
Математика не для всех

Красивейший интеграл, который решается через оригинальный трюк. Его осилит любой школьник

Приветствую Вас, уважаемые Читатели! Вычисление интегралов - это настоящее математическое искусство, особенно когда в решении применяются нестандартные методы. Сегодня я хочу Вам показать один из них. Поехали! Интеграл явно не табличный, но когда мы такого боялись? Тангенс у нас в знаменателе, и только очень большой опыт (вместе с пристальным взглядом на пределы интегрирования) позволит заметить, что: Теперь складываем два этих выражения и получаем: Второй трюк заключается в замене переменных в интеграле (не забываем и заменить пределы!): Подставили вместо х переменную pi/2-u (мы как-то должны связать вычисленное ранее равенство с искомым интегралом). В конце понимаем, что без потери общности (ох, как я люблю эту фразу!) мы можем заменить u на х (по сути, просто заменить буквы: А вот и красивый ответ! Подписывайтесь на канал и ставьте "Нравится" этой публикации. Спасибо за внимание! Читайте также:

Приветствую Вас, уважаемые Читатели! Вычисление интегралов - это настоящее математическое искусство, особенно когда в решении применяются нестандартные методы. Сегодня я хочу Вам показать один из них. Поехали!

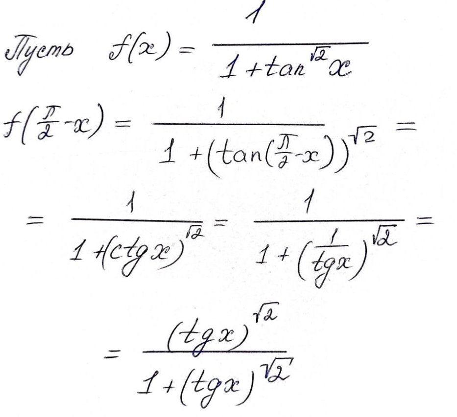
Интеграл явно не табличный, но когда мы такого боялись? Тангенс у нас в знаменателе, и только очень большой опыт (вместе с пристальным взглядом на пределы интегрирования) позволит заметить, что:

Используем формулы приведения
Используем формулы приведения

Теперь складываем два этих выражения и получаем:

-3

Второй трюк заключается в замене переменных в интеграле (не забываем и заменить пределы!):

-4

Подставили вместо х переменную pi/2-u (мы как-то должны связать вычисленное ранее равенство с искомым интегралом). В конце понимаем, что без потери общности (ох, как я люблю эту фразу!) мы можем заменить u на х (по сути, просто заменить буквы:

А вот и красивый ответ! Подписывайтесь на канал и ставьте "Нравится" этой публикации. Спасибо за внимание!

Читайте также: