Найти в Дзене
Пи Эр Квадрат

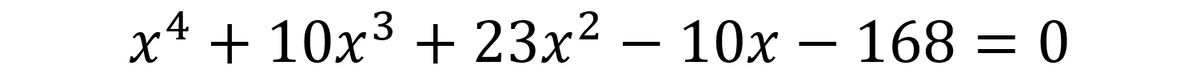
Задача #16: Решаем уравнение четвертой степени

Хорошего настроения всем увлекающимся, сегодня решим такое уравнение четвертой степени: Для начала попытаемся раскрыть скобки. С Вашего позволения, сразу запишу результат: Получаем уравнение четвертой степени. Как его решать? На мой взгляд, тут можно воспользоваться схемой Горнера. Можно разложить данное уравнение на множители с помощью метода неопределенных коэффициентов. Может быть есть какой-то способ проще? Вернемся к началу: Заметим, что первая скобка — это разность квадратов: Второй множитель является квадратным трехчленом, который имеет корни -4 и -6. Разложим его на множители: Перепишем исходное уравнение в виде произведения четырех множителей: Заметим, что -1 + 6 = 5 и 1 + 4 = 5. Перемножим скобки следующим образом: Такое перемножение скобок дает нам замечательную замену: Уравнение четвертой степени легким движением руки превращается в квадратное: Раскроем скобки и приведем подобные: Посчитаем дискриминант: И найдем корни уравнения: Сделаем обратную замену в каждом из случаев:

Хорошего настроения всем увлекающимся, сегодня решим такое уравнение четвертой степени:

Решать будем в действительных числах.
Решать будем в действительных числах.

Для начала попытаемся раскрыть скобки. С Вашего позволения, сразу запишу результат:

-2

Получаем уравнение четвертой степени. Как его решать? На мой взгляд, тут можно воспользоваться схемой Горнера. Можно разложить данное уравнение на множители с помощью метода неопределенных коэффициентов. Может быть есть какой-то способ проще?

Вернемся к началу:

-3

Заметим, что первая скобка — это разность квадратов:

-4

Второй множитель является квадратным трехчленом, который имеет корни -4 и -6. Разложим его на множители:

-5

Перепишем исходное уравнение в виде произведения четырех множителей:

-6

Заметим, что -1 + 6 = 5 и 1 + 4 = 5. Перемножим скобки следующим образом:

-7
-8

Такое перемножение скобок дает нам замечательную замену:

-9

Уравнение четвертой степени легким движением руки превращается в квадратное:

-10

Раскроем скобки и приведем подобные:

-11
-12

Посчитаем дискриминант:

-13

И найдем корни уравнения:

-14
-15

Сделаем обратную замену в каждом из случаев:

-16

Действительных корней нет! Кто знаком с мнимыми числами — легко найдет комплексные корни самостоятельно. Посмотрим, есть ли корни во втором случае:

-17

Итак, корни найдены:

-18

Если есть комментарии к решению или вопросы, обязательно пишите. Спасибо за внимание, надеюсь вам понравилось!

Если вам понравились задачи, то ставьте лайки и подписывайтесь на канал. Математики будет много!