Добавить в корзинуПозвонить
Найти в Дзене
Математика не для всех

Вот замудрили! Надо было додуматься так записать единицу

Приветствую Вас, уважаемые Читатели! Сегодня хочу с Вами решить интересный арифметический пример, ответ на который, как Вы уже поняли, содержится в названии. Однако, вся "соль" не в нём, а в интересном подходе к решению. Поехали! Традиционно делаем замену, чтобы было удобнее издеваться над собой: Что нам это даст? Для начала возведем уравнение в третью степень и приведем слагаемые: А вот это уже интересно. Переменные a и b выбраны таким образом, что удобно аннигилируются в сумме и произведении: Подставляем полученные значения и получаем кубическое уравнение: Корни квадратного уравнения не рассматриваем, т.к. они комплексные с ненулевой мнимой частью, в то время как х явно вещественное. Вот и ответ. Спасибо за внимание! Подписывайтесь на канал и ставьте "Нравится". Читайте также:

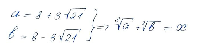
Приветствую Вас, уважаемые Читатели! Сегодня хочу с Вами решить интересный арифметический пример, ответ на который, как Вы уже поняли, содержится в названии. Однако, вся "соль" не в нём, а в интересном подходе к решению. Поехали!

Традиционно делаем замену, чтобы было удобнее издеваться над собой:

-2

Что нам это даст? Для начала возведем уравнение в третью степень и приведем слагаемые:

-3

А вот это уже интересно. Переменные a и b выбраны таким образом, что удобно аннигилируются в сумме и произведении:

-4

Подставляем полученные значения и получаем кубическое уравнение:

Корни квадратного уравнения не рассматриваем, т.к. они комплексные с ненулевой мнимой частью, в то время как х явно вещественное. Вот и ответ. Спасибо за внимание! Подписывайтесь на канал и ставьте "Нравится".

Читайте также: