Добавить в корзинуПозвонить
Найти в Дзене

Универсальность – свойство аналитических решений

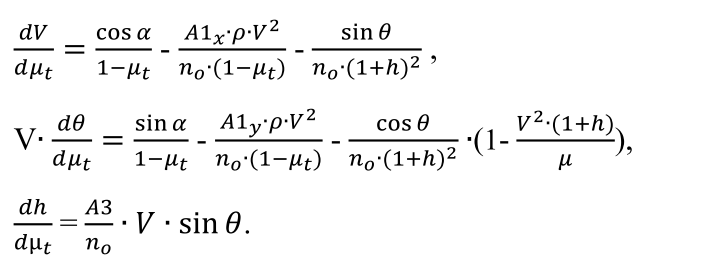
Переход к уравнениям в безразмерных переменных создал предпосылки к универсализации получаемых решений. Появились безразмерные коэффициенты подобия: А1 – А6, появились интегралы потерь скорости, появились аналитические решения для траекторий выведения КСВ на орбиты спутников планет. Планеты этой безразмерной системе отличаются друг от друга лишь значениями коэффициентов подобия. Давайте рассмотрим все эти свойства решений более подробно. Принцип обезразмеривания кинематических параметров траектории КСВ принят следующий: Уравнения движения КСВ в скоростной системе координат в безразмерных переменных приобретают вид: В этих переменных совершен переход от независимой переменной t – время к независимой переменной µt – текущее значение израсходованного топлива. Обратим внимание на то, что А2 и А3 характеризуют планету взлета, а А1 и no – средство выведения. По поводу коэффициента no следует заметить, что он зависит от параметров атмосферы. С учетом рассмотренных свойств безразмерных решени

Переход к уравнениям в безразмерных переменных создал предпосылки к универсализации получаемых решений.

Появились безразмерные коэффициенты подобия: А1 – А6,

появились интегралы потерь скорости,

появились аналитические решения для траекторий выведения КСВ на орбиты спутников планет.

Планеты этой безразмерной системе отличаются друг от друга лишь значениями коэффициентов подобия.

Давайте рассмотрим все эти свойства решений более подробно.

Принцип обезразмеривания кинематических параметров траектории КСВ принят следующий:

Уравнения движения КСВ в скоростной системе координат в безразмерных переменных приобретают вид:

-2

В этих переменных совершен переход от независимой переменной t – время к независимой переменной µt – текущее значение израсходованного топлива.

-3

Обратим внимание на то, что А2 и А3 характеризуют планету взлета, а А1 и no – средство выведения.

По поводу коэффициента no следует заметить, что он зависит от параметров атмосферы.

-4

С учетом рассмотренных свойств безразмерных решений можно с полным пониманием вспомнить интеграл вычисления скорости и интегралы потерь.

-5

Нетрудно видеть, что выражение для скорости полета КСВ наряду с безразмерными интегралами потерь содержит исключительно безразмерные коэффициенты потерь. Вводя их в качестве параметров в решения, получим универсальные зависимости, которые можно применять как для любой планеты, так и для любой КСВ.

Эти зависимости мы приведем в следующей публикации.