Найти в Дзене

СКОРОСТЬ ХИМИЧЕСКОЙ РЕАКЦИИ. ХИМИЯ ЕГЭ 2022

Приветствую вас, уважаемые читатели, на своем канале! В данной статье разберем вопрос химической кинетики или скорости химической реакции. Химическая кинетика – раздел химии, изучающий скорость химической реакции и факторы, влияющие на нее. Гомогенные реакции – реакции, в которых между реагентами отсутствует граница раздела (реакции, протекающие в растворах, или газовые реакции). Гетерогенные реакции – реакции, в которых реагенты находятся в разных агрегатных состояниях. Гетерогенные реакции протекают на границе раздела фаз, например между твердым веществом и газом, между твердым веществом и растворенным веществом. Скорость гомогенной реакции – изменение количества реагирующего вещества или продукта реакции в единице объема в единицу времени или изменение концентрации реагента или продукта в единицу времени: Скорость гетерогенной реакции – изменение количества реагента или продукта реакции в единицу времени на единице поверхности на границе раздела фаз: Факторы, влияющие на скорость хи

Приветствую вас, уважаемые читатели, на своем канале!

В данной статье разберем вопрос химической кинетики или скорости химической реакции.

Химическая кинетика – раздел химии, изучающий скорость химической реакции и факторы, влияющие на нее.

Гомогенные реакции реакции, в которых между реагентами отсутствует граница раздела (реакции, протекающие в растворах, или газовые реакции).

Гетерогенные реакции – реакции, в которых реагенты находятся в разных агрегатных состояниях. Гетерогенные реакции протекают на границе раздела фаз, например между твердым веществом и газом, между твердым веществом и растворенным веществом.

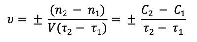
Скорость гомогенной реакции – изменение количества реагирующего вещества или продукта реакции в единице объема в единицу времени или изменение концентрации реагента или продукта в единицу времени:

Рисунок 1. Формула для расчета скорости гомогенной реакции
Рисунок 1. Формула для расчета скорости гомогенной реакции

Скорость гетерогенной реакции – изменение количества реагента или продукта реакции в единицу времени на единице поверхности на границе раздела фаз:

Рисунок 2. Формула для расчета скорости гетерогенной реакции
Рисунок 2. Формула для расчета скорости гетерогенной реакции

Факторы, влияющие на скорость химической реакции

Рисунок 3. Факторы, влияющие на скорость химической реакции
Рисунок 3. Факторы, влияющие на скорость химической реакции
Рисунок 4. Факторы, влияющие на скорость химической реакции
Рисунок 4. Факторы, влияющие на скорость химической реакции

Пример. Перечислите факторы (воздействия), увеличивающие скорость реакции взаимодействия магния с раствором серной кислоты.

Решение:

Рисунок 5. Уравнение химической реакции
Рисунок 5. Уравнение химической реакции

Характеристика реакции: реакция гетерогенная, оба исходных вещества «не газы».

Скорость реакции будет увеличиваться при:

1) повышении температуры;

2) увеличении концентрации кислоты;

3) измельчении твердого вещества (измельчении Mg).

На скорость реакции не будут влиять изменение давления, концентрации MgSO4 (продукт реакции), увеличение количества (т.е. добавление кусочков металла) магния.

Разбор теории по первому вопросу можно посмотреть здесь:

Разбор теории по второму вопросу можно посмотреть здесь:

Разбор теории по типам химических связей и кристаллических решеток можно посмотреть здесь.

Решение заданий 30 и 31 разных вариантов можно посмотреть здесь:

  • задания 30 и 31 (часть 1);
  • задания 30 и 31 (часть 2);
  • задания 30 и 31 (часть 3).

Решение заданий 32 разных вариантов можно посмотреть здесь:

  • задание 32 (часть 1);
  • задание 32 (часть 2);
  • задание 32 (часть 3).

Решение заданий 33 разных вариантов можно посмотреть здесь:

Решение заданий 34 разных вариантов можно посмотреть здесь:

Решение заданий 35 разных вариантов можно посмотреть здесь:

Не забываем поставить лайк этой статье и подписаться на канал!

Всем успехов в изучении химии!