Найти в Дзене

Аэродинамические потери скорости.

Наличие атмосферы у планеты приводит к возникновению потерь скорости КСВ при выведении КА на орбиту. Это проявляется в виде двух факторов: аэродинамическое сопротивление движению, которое приводит к потере скорости КСВ и снижение величины тяги и удельного импульса двигателя в связи с противодавлением атмосферы. Интеграл скорости V(µk1) при полете КСВ в пределах атмосферы и интегралы гравитационных I1 и аэродинамических потерь I2 и I3 определяются следующими выражениями: где интегралы гравитационных I1 и аэродинамических потерь I2 и I3 имеют вид: Коэффициенты А и В зависят от показателя высотности атмосферы А2 и наклона траектории к горизонту К1. Более детальный анализ этих выражений, их вычисление и верификацию читатель найдет в статье «Для тех кому интересны подробности», п.2 раздела 1. Рассмотрим как вычисляются эти интегралы и каковы их значения. Исходные данные расчетов, вычислительный алгоритм и графические зависимости показаны ниже: 1.Исходные данные Здесь Vo и ho это результ

Наличие атмосферы у планеты приводит к возникновению потерь скорости КСВ при выведении КА на орбиту.

Это проявляется в виде двух факторов: аэродинамическое сопротивление движению, которое приводит к потере скорости КСВ и снижение величины тяги и удельного импульса двигателя в связи с противодавлением атмосферы.

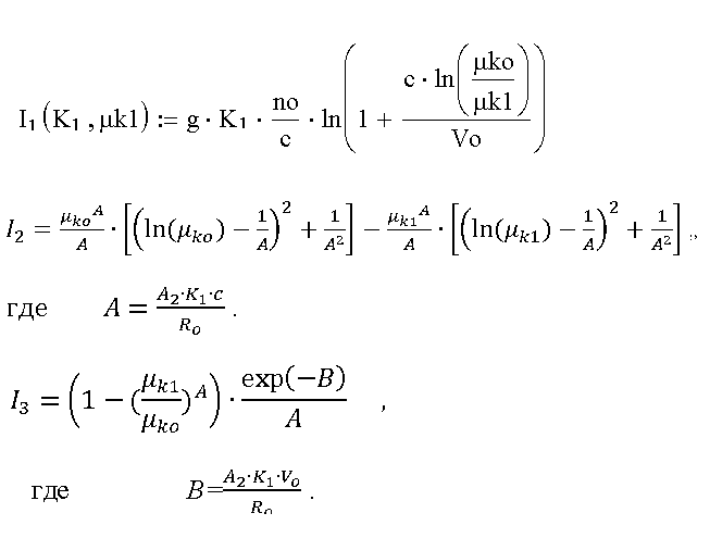
Интеграл скорости V(µk1) при полете КСВ в пределах атмосферы и интегралы гравитационных I1 и аэродинамических потерь I2 и I3 определяются следующими выражениями:

где интегралы гравитационных I1 и аэродинамических потерь I2 и I3 имеют вид:

-2

Коэффициенты А и В зависят от показателя высотности атмосферы А2 и наклона траектории к горизонту К1. Более детальный анализ этих выражений, их вычисление и верификацию читатель найдет в статье «Для тех кому интересны подробности», п.2 раздела 1.

Рассмотрим как вычисляются эти интегралы и каковы их значения.

Исходные данные расчетов, вычислительный алгоритм и графические зависимости показаны ниже:

1.Исходные данные

-3

Здесь Vo и ho это результат вертикального подъема КСВ.

2. Результаты расчетов.

-4
Как, возможно, заметил читатель результаты получены из аналитических зависимостей, полученных автором, они отражают тенденции процессов и степень влияния различных факторов на происходящие процессы. Коэффициент К1 отражает крутизну траектории, из рисунка видно, что для менее крутых траекторий степень влияния аэродинамики более заметная, I2 имеет размерность скорости, поэтому его значения могут достигать до десятка м/с. Это аэродинамические потери скорости.

Влияние других факторов на параметры траекторий КСВ рассмотрим в следующей публикации.

Ставьте Ваши лайки. Пишите в комментарии.