Найти в Дзене
Теория всего

Гравитация в современной науке.

Самое большое, в чем разобралось человечество, как ему кажется, это электромагнитное поле. Несколько меньше человек понимает в электрическом поле, а еще меньше в магнитном поле. А в познании гравитационного поля пока успехов мало, хотя моделей гравитационных процессов достаточно много. Но все может оказаться не так и сложно. Что такое гравитация в современной науке? В БСЭ сказано: “Тяготение, гравитация, гравитационное взаимодействие, универсальное взаимодействие между любыми видами материи. Если это взаимодействие относительно слабое и тела движутся медленно (по сравнению со скоростью света), то справедлив закон всемирного тяготения Ньютона. В общем случае Т. описывается созданной А. Эйнштейном общей теорией относительности”. Гравитацию или закон всемирного тяготения открыл Исаак Ньютон. Точнее не то чтобы он открыл этот закон с нуля, а как-то упорядочил его и описал его математикой. О тяготении знали и до него. Не мало было перебросано ядер и других предметов из башни, чтобы определ

Самое большое, в чем разобралось человечество, как ему кажется, это электромагнитное поле. Несколько меньше человек понимает в электрическом поле, а еще меньше в магнитном поле. А в познании гравитационного поля пока успехов мало, хотя моделей гравитационных процессов достаточно много. Но все может оказаться не так и сложно.

Что такое гравитация в современной науке?

В БСЭ сказано:

“Тяготение, гравитация, гравитационное взаимодействие, универсальное взаимодействие между любыми видами материи. Если это взаимодействие относительно слабое и тела движутся медленно (по сравнению со скоростью света), то справедлив закон всемирного тяготения Ньютона. В общем случае Т. описывается созданной А. Эйнштейном общей теорией относительности”.

Гравитацию или закон всемирного тяготения открыл Исаак Ньютон. Точнее не то чтобы он открыл этот закон с нуля, а как-то упорядочил его и описал его математикой. О тяготении знали и до него. Не мало было перебросано ядер и других предметов из башни, чтобы определить, что быстрее притягивает земля. Но это представлялось каким-то локальным явлением: вот земля, вот ядро, его и притягивает земля.

В то же время знали уже о движении планет и знали, что луна вращается вокруг земли и не улетает от нее, потому что ее притягивает к себе земля. Эти силы считались какими-то особыми.

А Ньютон, может и в правду, увидев луну и падающее яблоко, понял, что в обоих случаях действуют одни и те же силы. Он объединил в своем мозгу группу нейромедиаторов, воспроизводящих процесс падения яблока и группу нейромедиаторов, воспроизводящих процесс движения луны, в одну группу. То есть совершил акт мышления и творчества. Все это произошло в его мозгу.

Мало того, он все это описал математикой. И, как пишут в Интернете, вот что получилось:

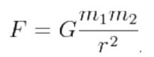
В рамках классической механики гравитационное взаимодействие описывается законом всемирного тяготения Ньютона, который гласит, что сила гравитационного притяжения между двумя материальными точками массы m1 и m2, разделёнными расстоянием r, пропорциональна обеим массам и обратно пропорциональна квадрату расстояния — то есть:

Несомненно, формула всемирного тяготения верна, но представьте себе, что произойдет с силой взаимодействия, если r устремить к нулю? Так может быть это и есть ядерные силы или сильное взаимодействие? Так гравитационное взаимодействие плавно переходит в сильное взаимодействие.

И еще одно явление спрятано в этой формуле. Каждое из этих тел формирует или излучает “нечто”, что равномерно распределено вокруг тела в определенном количестве и поэтому чем дальше от тела, тем меньше этого “нечто” приходится на единицу площади сферы и, соответственно, на второе тело. Конечно, можно сказать, что это потенциал гравитационного поля или, ближе к делу, гравитоны. Только вот, что такое гравитон, никто сказать не может.

Моделей гравитации много, я насчитал 14 штук, дальше не стал искать. Понятно, что 14 истин по одному и тому же явлению быть не может. Ложных теорий может быть сколько угодно, а истина может быть только одна.

Среди этих моделей есть и модель, созданная в общей теории относительности А. Эйнштейном.

Почему же возникает такая морока с гравитацией? Давайте посмотрим при помощи чего (этого “нечто”) могут взаимодействовать гравитирующие тела.

1. Первое, и, наверное, самое распространенное мнение, - это то, что тела взаимодействуют через гравитационное поле. Но тут любая недоросль поставит любого мудреца в тупик. Опыт показывает, что притягиваться могут только различные поля. Например, электрически заряженные шарики отрицательными полями будут отталкиваться, а не притягиваться. То же и с положительно заряженными шариками. И только, если один шарик будет заряжен положительно, а другой отрицательно, то они притянуться. Так же ведут себя и магнитные поля. А больше то мы полей и не знаем. Электромагнитное поле – это подобие полю пшеницы или конопли.

Так что если мы хотим, чтобы земля притягивала луну или яблоко, то мы должны признать, что гравитация есть плюсовая и минусовая. Но современная наука даже не задается этим вопросом.

2. Второе – взаимодействие осуществляется через гравитационные волны. Во втором десятилетии 21 века был поднят в научном мире большой шум. Интерферометры LIGO зафиксировали гравитационные волны, пришедшие от двух столкнувшихся черных дыр. Это еще одно подтверждение общей теории относительности. Потом шум стих и ничего интересного не произошло. Да и что могло произойти, если эти LIGO обладают таким чудным свойством: за миллиарды миллиардов гравитационные волны они чувствуют, а вот рядом находящееся солнце излучает какие-то хилые гравитационные волны, которые эти шедевры науки не чувствуют. В то время как большое количество метеозависимых людей чувствуют на своей шкуре изменения в нашем светиле.

Но еще диковинно то, что мало кому понятно – а как же волна может притягивать к себе тело? Ну она может покачать тело, нести на себе серфингиста, дотащить куда-нибудь бутылку с письмом, но и то это в основном благодаря ветрам, а как она может что-то притягивать к себе не понятно.

3. Третье – взаимодействие осуществляется при помощи гравитонов, то есть каких-то частиц. Но тут тоже тупик для ученых.

4. Почему Эйнштейн придумал такую сложную конструкцию, как ОТО, а не остановился на частице квант или гравитон? Вероятнее всего, что он не мог предположить, как частица, летящая к телу, могла передать ему свой импульс в обратном направлении? Не могла же она облететь это тело и толкнуть его с обратной стороны? Придумать частицу, которая тянула бы на себя тело, почему-то не удалось. Возможно он не знал, того, что одна и та же частица может летать где угодно и возвращаться в обратно в требуемое место (опыт Юнга), но зато теперь это знают многие маститые ученые. Могли же они расширить понятие гравитации, cказав, что гравитацию создают обратно летящие частицы. Глядишь, у нас бы и прибавилось венценосных голов.

Мысль, о том, что тело толкают некие силы извне, требует принять теорию эфира. Все это не приемлемо для Эйнштейна. Потребовалось выстраивание искривленной плоскости, по которой тело скатывалось бы к требуемому телу. А если тела одинаковы, то следовало бы им строить эту потенциальную яму, в какой-то промежуточной точке между ними. Ничто не может строить эти потенциальные ямы, путем пригибания пространства-времени, кроме как сами тела. Как тела искривляют пространство-время Эйнштейн показал вот такой формулой:

-2

Это связь массы тел с кривизной пространства. Где-то изменили массу, сразу же там изменяется кривизна пространства-времени.

Это очень наглядно представляется в трехмерном пространстве, если положить какое-нибудь тело на батут или на какое-нибудь натянутое полотнище. Образуется яма, в которую действительно будут скатываться по ее склону тела, оказавшиеся на этом склоне и не смогшие продавить достаточной глубины ямы, чтобы удержатся на склоне. Но дело в том, что даже по склону тело не будет катится, если не будет соответствующей силы или силы будут уравновешены. В космическом корабле все пространство-время отрихтовано до отсутствия всякой кривизны. Выходит, что одни явления искривляют пространство-время, а другие его спрямляют. Даже обидно за наше пространство-время: мнут его как тряпку.

Есть и еще одна пикантная вещь. Посмотрите: вот где-то появилось в пространстве-времени некоторое тело и искривило его до соответствующей кривизны и вдруг одна из координат начала изменяться и не где-то в бесконечности, а тут же под телом. Например, растягиваться или сокращаться. Как вы полагаете – будет изменятся кривизна пространства-времени или нет? Может быть я не прав, но мне кажется, что будет. Естественно, что пространственная координата сама по себе так изменятся не будет, в то время, как временная координата изменяется непрерывно. Спрашивается: не навредит ли это изменение времени (временная координата является равноправной среди других) нашей кривизне, по сути гравитации.

Какой же выход из этого, не совсем понятного тупика. Как сказал Ричард Фейнман – у нас ничего нет кроме электронов и фотонов. Из этого я и буду исходить.