Найти в Дзене
Про.Госзакупки

Порядок расчета НМЦК (цены контракта) на охранные услуги по 44-ФЗ

В связи с появлением приказа Росгвардии, устанавливающего порядок определения НМЦК и цены контракта с единственным исполнителем, многие заказчики уже озадачились вопрос расчета НМЦК и цены контракта, заключаемого с единственным исполнителем, на оказание охранных услуг (далее - Порядок). Попробуем разобраться в тонкостях расчета цены контракта на наиболее востребованный вид охранных услуг, оказываемых частными охранными организациями. Для этого принимаем исходные данные: Количество постов: 1 шт. Режим работы поста: 24 часа в сутки. Смена: 12 часов. Количество охранников: 3 человека. Охранники не используют спецсредства и оружие. Срок оказания услуг: с 01.09.2021г. по 31.12.2021г. Вид охранных услуг: Обеспечение внутриобъектового и пропускного режимов на объектах. Работы по проектированию, монтажу и эксплуатационному обслуживанию технических средств охраны - отсутствуют. Услуги по защите жизни и здоровья граждан - отсутствуют. Допуск к государственной тайне не требуется. Массовые меропр

В связи с появлением приказа Росгвардии, устанавливающего порядок определения НМЦК и цены контракта с единственным исполнителем, многие заказчики уже озадачились вопрос расчета НМЦК и цены контракта, заключаемого с единственным исполнителем, на оказание охранных услуг (далее - Порядок).

Попробуем разобраться в тонкостях расчета цены контракта на наиболее востребованный вид охранных услуг, оказываемых частными охранными организациями.

Для этого принимаем исходные данные:

Количество постов: 1 шт.

Режим работы поста: 24 часа в сутки.

Смена: 12 часов.

Количество охранников: 3 человека.

Охранники не используют спецсредства и оружие.

Срок оказания услуг: с 01.09.2021г. по 31.12.2021г.

Вид охранных услуг: Обеспечение внутриобъектового и пропускного режимов на объектах.

Работы по проектированию, монтажу и эксплуатационному обслуживанию технических средств охраны - отсутствуют.

Услуги по защите жизни и здоровья граждан - отсутствуют.

Допуск к государственной тайне не требуется.

Массовые мероприятия не проводятся.

Место оказания услуг: Красноярский край.

Все данные есть, поехали считать.

При закупке охранных услуг для объектов, за исключением объектов, на которые частная охранная деятельность не распространяется, НМЦК определяется по формуле:

где:

С u - прямые затраты на часовую работу u-го поста охраны в составе одного работника в смене в рублях, определенные в соответствии с пунктом 3 Порядка;

Прямые затраты формируются только для следующих видов охранных услуг:

  • Охрана объектов и (или) имущества (в том числе при его транспортировке), находящихся в собственности, во владении, в пользовании, хозяйственном ведении, оперативном управлении или доверительном управлении, за исключением объектов и (или) имущества, предусмотренных подпунктом 4.3 пункта 4 Порядка.
  • Обеспечение порядка в местах проведения массовых мероприятий.
  • Обеспечение внутриобъектового и пропускного режимов на объектах, за исключением объектов, предусмотренных подпунктом 4.4 пункта 4 Порядка;
  • Охрана объектов и (или) имущества, а также обеспечение внутриобъектового и пропускного режимов на объектах, в отношении которых установлены обязательные для выполнения требования к антитеррористической защищенности, за исключением объектов, предусмотренных частью 3 статьи 11 Закона Российской Федерации от 11 марта 1992 г. N 2487-1 "О частной детективной и охранной деятельности в Российской Федерации".

K u - количество часов работы работника по контракту на u-ом посту охраны и составляет 976 часов;

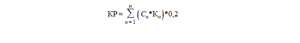
КР - косвенные расходы. Устанавливаются в размере 20% от общей суммы всех прямых затрат и рассчитываются по формуле:

-2

П - прибыль. Определяется на основании среднеотраслевых показателей рентабельности продукции (услуги) за предшествующий год по данным ФНС России (в случае отсутствия официальных сведений по указанному показателю в рассматриваемой отрасли принимается равной 5%) и рассчитывается по формуле:

в информационном письме ИФНС от 05.05.2021г. сведения о рентабельности охранных услуг отсутствуют
в информационном письме ИФНС от 05.05.2021г. сведения о рентабельности охранных услуг отсутствуют

,где u - идентификатор или номер поста охраны по контракту, в отношении которого производится расчет прямых затрат;

n - количество требуемых постов охраны по контракту. По умолчанию для расчета принимается, что на одном посту охраны работает один работник в смене, в случае наличия на одном посту охраны двух и более работников в смене расчет производится для каждого работника отдельно. Максимальная продолжительность режима работы поста охраны 24 часа, минимальная - 3 часа;

I инфл - индекс потребительских цен на прочие услуги, принимаемый в соответствии с публикуемыми Минэкономразвития России прогнозами социально-экономического развития Российской Федерации.

В случае если срок действия контракта превышает срок прогноза, индекс потребительских цен для каждого года срока действия контракта, не указанного в прогнозе, принимается равным индексу потребительских цен, указанному для последнего года прогноза.

I инфл рассчитывается как среднее арифметическое между индексами потребительских цен на каждый год срока действия контракта.

В случае если расчет НМЦК и начало срока действия контракта приходятся на один год, то для этого года срока действия контракта значение I инфл принимается равным единице (как раз наш случай).

НДС - налог на добавленную стоимость.

Показатели С тсо и С зж включаются в формулу определения НМЦК в случае наличия потребности заказчика в соответствующей дополнительной услуге, при этом

Определились что за буквы в формуле, теперь приступаем к расчету.

Самая важная неизвестная в данной формуле - С u (прямые затраты).

В соответствии с Порядком прямые затраты определяются как общая стоимость часа работы одного работника на одном посту охраны с учетом корректирующих коэффициентов.

Прямые затраты определяются по формуле:

-4

БЗП - базовая заработная плата работника (рублей/час), которая рассчитывается по формуле: отношение МРОТ к СНР.

МРОТ - минимальный размер оплаты труда, установленный на дату расчета НМЦК в соответствии со статьей 133 Трудового кодекса Российской Федерации. При отсутствии на территории соответствующего субъекта Российской Федерации регионального соглашения, заключенного в рамках реализации статьи 47 Трудового кодекса Российской Федерации, используется значение МРОТ в соответствии с Федеральным законом от 19 июня 2000 г. N 82-ФЗ "О минимальном размере оплаты труда".

Принимаем МРОТ в соответствии с 82-ФЗ на 23.07.2021г. равным 12 792 руб.

СНР - среднемесячное количество рабочих часов одного работника поста охраны. Определяется по производственному календарю (для 40-часовой пятидневной рабочей недели) на год, в котором производится расчет НМЦК.

По данным производственного календаря на 2021 год в течение срока оказания охранных услуг:

рабочих дней: 85,

выходные и праздничные дни: 37

Количество рабочих часов: 679 ч

следовательно СНР=169,75 ч.

БЗП=75,36 рублей/час

Д н - доплата за работу в ночное время, порядок и размер которой установлены Правительством Российской Федерации. Определяется по производственному календарю (для 40-часовой пятидневной рабочей недели) на год, в котором производится расчет НМЦК. Не применяется в случае отсутствия режима работы поста охраны в ночное время;

Постановлением Правительства от 22.07.2008г. №554 установлен минимальный размер повышения оплаты труда за работу в ночное время (с 22 часов до 6 часов) составляет 20% часовой тарифной ставки (оклада (должностного оклада), рассчитанного за час работы) за каждый час работы в ночное время

Дн составляет 15,07 рублей/час.

Д вп - доплата за работу в выходные и праздничные дни, порядок и размер которой установлены статьей 153 Трудового кодекса Российской Федерации.

Статьей 153 ТК РФ установлено - работникам, труд которых оплачивается по дневным и часовым тарифным ставкам, - в размере не менее двойной дневной или часовой тарифной ставки.

Д вп составляет 150,72 руб./час.

Д рк - доплата за работу в районах Крайнего Севера и приравненных к ним местностях. Принимаем, что такой коэффициент не установлен.

РО - резерв на отпуск, который рассчитывается по формуле:

-5

РО=20,10 руб.

СВ - страховые взносы, которые устанавливаются в соответствии со статьей 425 Налогового кодекса Российской Федерации и Федеральным законом от 24 июля 1998 г. N 125-ФЗ "Об обязательном социальном страховании от несчастных случаев на производстве и профессиональных заболеваний", рассчитываются по формуле:

СВ = (БЗП + Д н + Д вп + Д рк + PO) * Y,

где:

Y - ставка страховых взносов составляет 30,2%;

U - корректирующий коэффициент (не применяется, т.к. в исходных данных не установлены особенности).

СВ= 78,90 руб.

Таким образом прямые затраты (С u) оставляют 340,15 руб./час

КР - косвенные расходы составляют 66 397,28 руб.

Прибыль (П) в соответствии с формулой составляет 19 919,18 руб.

Подставляем все цифры в формулу и получается цена контракта (НМЦК) = 501 963,43 руб.

Подписывайтесь на наш канал, чтобы быть в курсе последних новостей в сфере закупок.

Предлагаем ознакомиться с другими материалами:

Установлены требования энергетической эффективности к материалам по 44-ФЗ;

Изменения 223-ФЗ обязывают обосновывать НМЦД;

В статье разобрали сложности нового порядка проведения запроса котировок и закупок малого объема с 01.04.2021г.

-6