Найти в Дзене

«5 раз отмерь…» или как изобрести основы физики за пять минут

Задумывались ли вы когда-нибудь о том, насколько условно устроена наша жизнь? Каждый день мы говорим о понятиях метра, секунды, килограмма, однако мало кто задумывается о том, насколько искусственны эти понятия. Сегодня мы докажем это при помощи простого эксперимента, восстановив ВСЮ метрическую систему при помощи простой школьной линейки Итак, все мы собрались здесь для достаточно простого и интересного эксперимента: возможно ли воспроизвести все метрические единицы, имея в распоряжении простую линейку? И да, и нет. По крайней мере, нам пригодится опыт всего человечества, накопленный за века наблюдения за природой. Приступим! Сантиметры в секунды Начнём, пожалуй, с базовой характеристики: времени. Однако как при помощи прибора, измеряющего длину (абстрактную величину), измерить ещё более абстрактное понятие? Обратимся к одной занятной школьной формуле из курса физики Эта формула даёт возможность вычислить период колебания математического маятника, зная длину его нити. Что значит «мате
Оглавление

Задумывались ли вы когда-нибудь о том, насколько условно устроена наша жизнь? Каждый день мы говорим о понятиях метра, секунды, килограмма, однако мало кто задумывается о том, насколько искусственны эти понятия. Сегодня мы докажем это при помощи простого эксперимента, восстановив ВСЮ метрическую систему при помощи простой школьной линейки

Итак, все мы собрались здесь для достаточно простого и интересного эксперимента: возможно ли воспроизвести все метрические единицы, имея в распоряжении простую линейку? И да, и нет. По крайней мере, нам пригодится опыт всего человечества, накопленный за века наблюдения за природой. Приступим!

Сантиметры в секунды

Кто сказал, что волшебных палочек не существует?
Кто сказал, что волшебных палочек не существует?

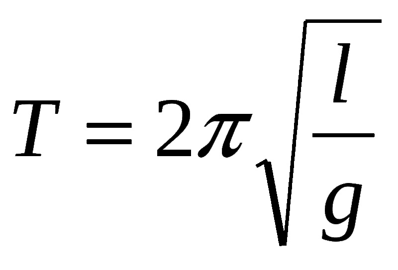
Начнём, пожалуй, с базовой характеристики: времени. Однако как при помощи прибора, измеряющего длину (абстрактную величину), измерить ещё более абстрактное понятие? Обратимся к одной занятной школьной формуле из курса физики

Эта формула даёт возможность вычислить период колебания математического маятника, зная длину его нити. Что значит «математический маятник»? Всё просто: размерами груза в сравнении с длиной нити можно пренебречь. Кот, колеблющийся на собственном хвосте, удерживаемом чьей-то наглой рукой, — это не математический маятник. Камень на верёвке — вполне.

Тут нам пригодится знание двух констант: числа «пи» и ускорения свободного падения. Первое можно измерить при помощи той же линейки, как отношения длины окружности к её диаметру… Или можно просто подставить приближённое значение, как и в случае с ускорением свободного падения (лучше брать g=9.81 м/с²)
-2

А теперь занимательный факт: взяв длину нити за 99.4 см и подставив все числа на свои места, мы получим, что период колебания для нашего камня составит 2 секунды (с достаточно большой точностью)

-3

Соответственно, взяв лишь половину периода, мы научимся отмерять одну секунду времени и изобретём базовый хронометр. К слову, применяться эта технология будет вплоть до изобретения электронных часов (вспомните маятники в старых часах).

Из времени — в скорость

Тут всё совсем просто: отпускаем нашего «бегуна» ровно на одну секунду, измеряем с помощью линейки пройденное расстояние и делим его на время — получим скорость объекта, выраженную в *вставьте меру расстояния*/с.

Более того, если вы вооружитесь вашей памятью или же бумагой с ручкой и запишите, как изменялась скорость объекта с течением времени, вы получите *барабанная дробь* ускорение! Оно пригодится нам чуть позже

О больном: изобретаем килограмм

Возьмём нашу линейку и отмеряем куб со сторонами ровно в сто сантиметров. Упс, кажется, у нас получились единицы объёма. Отлично, пусть будут (может, пригодятся — кто знает?). Теперь вспомним, что с определённой точностью можно говорить о том, что литр воды весит примерно 1 килограмм (плотность дистиллированной воды ~1000 кг/м³).

Чёрт.
Чёрт.

Совмещая наш новоиспечённый ящик и чистую воду (плотность обыкновенной воды зачастую больше, чем плотность дистиллированной, но кого это волнует, если вы округляете число «пи» до двух знаков?), получаем один литр воды, который является нашей мерой килограмма. Если вам удастся наносить пару десятков таких вот коробов, а воду, знаете ли, в них не просто так не носят, возможно, у вас даже получится взвеситься на рычажных весах. А учитывая ту работу, которую вам придётся совершить при переносе, результат может приятно удивить. Ах да, что там про работу?..

Для начала о силе

Но не будем торопить события. Вспомним, что для фундаментальной картины мира нам не хватает понятия «силы». А потом вспомним про классного парня по фамилии Ньютон и его второй закон:

Вообще-то, в оригинале Ньютон выражал именно ускорение, но массовая культура всё вновь испортила
Вообще-то, в оригинале Ньютон выражал именно ускорение, но массовая культура всё вновь испортила

Помните, мы уже получали ускорение? Кажется, настал его звёздный час! Итак, сила в 1 Ньютон нужна, чтобы придать вашему ящику воды, весом 1 килограмм, ускорение в 1 м/с².

А теперь и о работе. Работа в 1 Джоуль — это сила в 1 Ньютон, переместившая ваш ящик с водой на 1 метр. Круто, правда?

Мощность и дальнейший путь

Бонусом ко всему мы получаем понятие мощности, выражаемое простым делением работы на время, в течение которой она совершалась. Таким же образом мы можем получить понятие давления, разделив силу, с которой давит ваш ящик с водой на землю, на площадь дна этого самого ящика.

Понятие об энергии веществ мы получим, измерив их скорость. Затем, углубившись в их составные части (да-да, я про атомы), через среднеквадратичную энергию частицы мы выйдем на понятие температуры, а дальше…

Таким вот нехитрым образом от механики мы можем перейти к абсолютно любому разделу физики (квантовая механика находится в крайне неопределённом состоянии), зная несколько констант и формул из школьного курса физики. Кто-то, конечно, может возмутиться, мол мы всё вывернули наизнанку и вообще, научно-технический прогресс двигался прямо противоположным путём, но кто бы ещё показал вам, как с помощью линейки можно взвеситься и потерять любовь к жизни? Обращайтесь!