Найти в Дзене
Тутси тревел ютуб

Нет денег на репетитора? Есть простой выход. Рассказываю почему и как.

Лично я репетитор по математике, но у меня самой репетитора не было ни разу. Дело в том, что я заканчивала школу в 1991 году, когда для многих семей настали тяжелые времена. Мои родители - инженеры с высшим образованием вдруг оказались без хорошей зарплаты и работы. Денег катастрофически не хватало. Папа перешел из своего КБ на работу с физическим трудом, а после работы до темноты пахал на огороде за городом, чтобы прокормить семью. Мама срочно осваивала профессию бухгалтера, которая вдруг стала очень востребованной. И тут я, сижу и решаю математику каждый вечер, чтобы подготовиться к поступлению в вуз. У меня получалось многое, но не все. Я нервничала, расстраивалась. Сейчас вопрос решился бы просто - ребенку нанимают репетитора. А тогда папа принес мне 3 толстых справочника по элементарной математике, которые были изданы 10-15 лет назад и сказал: - Ищи похожие задания, читай объяснения, решай сама. Потом решишь и свое задание по аналогии. Ты справишься. Вот вам и репетит

Лично я репетитор по математике, но у меня самой репетитора не было ни разу.

Дело в том, что я заканчивала школу в 1991 году, когда для многих семей настали тяжелые времена.

Мои родители - инженеры с высшим образованием вдруг оказались без хорошей зарплаты и работы.

Денег катастрофически не хватало. Папа перешел из своего КБ на работу с физическим трудом, а после работы до темноты пахал на огороде за городом, чтобы прокормить семью.

Мама срочно осваивала профессию бухгалтера, которая вдруг стала очень востребованной.

И тут я, сижу и решаю математику каждый вечер, чтобы подготовиться к поступлению в вуз.

У меня получалось многое, но не все. Я нервничала, расстраивалась. Сейчас вопрос решился бы просто - ребенку нанимают репетитора.

А тогда папа принес мне 3 толстых справочника по элементарной математике, которые были изданы 10-15 лет назад и сказал:

- Ищи похожие задания, читай объяснения, решай сама. Потом решишь и свое задание по аналогии. Ты справишься.

Вот вам и репетитор. И сидела, разбиралась, злилась, но мне даже в голову не пришло просить у родителей репетитора.

Даже тогда это было дорогое удовольствие, а нас в семье двое.

А сейчас столько возможностей! Можно не читать скучные справочники, а открыть видео урок в интернете, где умный преподаватель бесплатно расскажет вам любое задание подробно и понятно. Только сиди и слушай, вникай.

Личное видео:

Но если ребенку и это лень, то придется тратиться на репетитора.

Совсем нет денег на помощь ребенку? Вот не верю и все!

Почти у всех мам каждую неделю новые нарощенные ногти, у ребенка чаще всего айфон, отпуск семья проводит в Турции или в Крыму и машина тоже есть почти у всех.

Лично у меня машины нет, а бюджетный смартфон известной марки куплен на Хайнане за 13 тысяч рублей на наши деньги. И я довольна, бедной себя не считаю.

Но некоторые считают себя бедными. Тогда пусть ребенок занимается сам, как я в свое время. Репетиторы есть не у всех даже сейчас. Терпение, упорство и настойчивость дадут хороший результат.

А как Вы считаете? Пишите в комментариях.

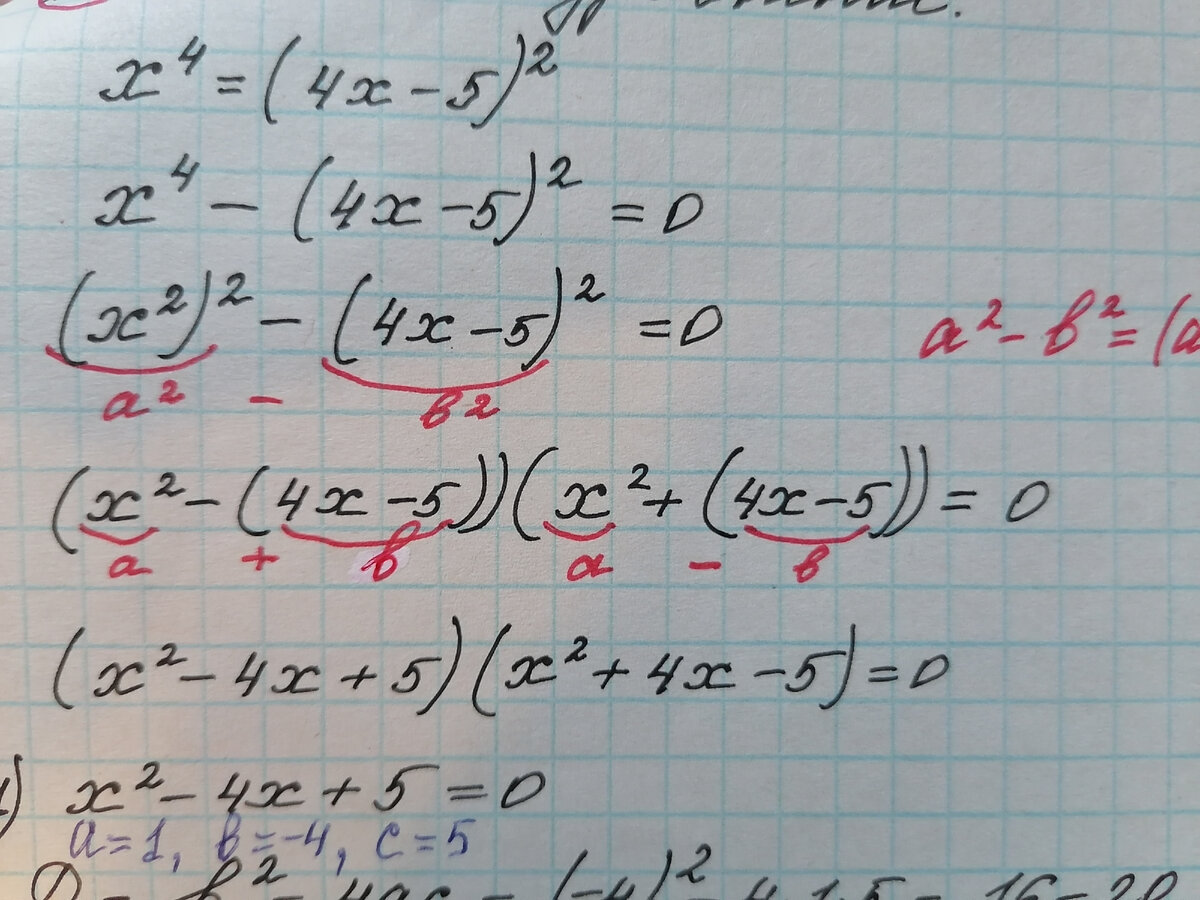
Алгебра. Личное фото.
Алгебра. Личное фото.

Читайте мои новые статьи:

1)Три главные причины двоек на ОГЭ по математике.

2)Русские своих не бросают. Моя история.

3)Оценки за ОГЭ по математике. Почему у нас тройка - 8 баллов, а в других регионах 5 баллов?

4)Помогает ли апелляция но ЕГЭ и ОГЭ. Реальные случаи.

5)Если отменят ЕГЭ. Вы точно этого хотите?

6)Почему женщины позволяют мужьям себя унижать.

7)Обиделась на врача. Кто оказался прав.

8)Незнакомая бабуля обругала нас с сыном.

9)Сосед перекрыл нам воду.

10)Одинокая старушка удивила всех.