Найти в Дзене
Математика не для всех

Восхитительный вывод формулы двойного угла, о котором еще рановато знать в школе

Приветствую Вас, уважаемые Читатели! Сегодня хочу рассказать о достаточно занимательном выводе формуле синуса и косинуса двойного угла. К сожалению, уже не помню, каким образом эта информация преподносилась в школе: давали ли эту формулу для запоминания или, может быть, выводили через формулу синуса/косинуса суммы. Напишите в комментариях, кто помнит или знает. Ну а мы поехали! В выводе формул нам поможет знаменитая формула Муавра. Изучив парочку источников, понял, что эту формулу дают лишь в учебниках по математике профильного уровня. В остальных учебниках знакомство с комплексными числами ограничивается в лучшем случае различными формами записи и тождеством Эйлера. Чтобы получить заветные формулы необходимо подставить n=2: Используем тот факт, что мнимая единица в квадрата равна "-1". Теперь вспоминаем, что комплексные числа равны, если равны их действительные и мнимые части: И получаем ответ! Согласитесь, что приятно не запоминать формулы, а уметь их выводить. Легко догадаться, что

Приветствую Вас, уважаемые Читатели! Сегодня хочу рассказать о достаточно занимательном выводе формуле синуса и косинуса двойного угла. К сожалению, уже не помню, каким образом эта информация преподносилась в школе: давали ли эту формулу для запоминания или, может быть, выводили через формулу синуса/косинуса суммы. Напишите в комментариях, кто помнит или знает. Ну а мы поехали!

Абрахам де Муавр. Источник: https://f4.love.ru/3EfDd01rZb.jpg
Абрахам де Муавр. Источник: https://f4.love.ru/3EfDd01rZb.jpg

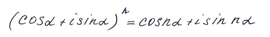
В выводе формул нам поможет знаменитая формула Муавра. Изучив парочку источников, понял, что эту формулу дают лишь в учебниках по математике профильного уровня. В остальных учебниках знакомство с комплексными числами ограничивается в лучшем случае различными формами записи и тождеством Эйлера.

-2

Чтобы получить заветные формулы необходимо подставить n=2:

-3

Используем тот факт, что мнимая единица в квадрата равна "-1". Теперь вспоминаем, что комплексные числа равны, если равны их действительные и мнимые части:

-4

И получаем ответ! Согласитесь, что приятно не запоминать формулы, а уметь их выводить. Легко догадаться, что вывод формулы тройного угла аналогичен: необходимо лишь подставить в формулу Муавра n=3 (смотрите в комментариях). Спасибо за внимание!

Читайте также: