Добавить в корзинуПозвонить
Найти в Дзене
Решать просто!

Ряды Фурье.

Добрый день! Предлагаю к просмотру решенные задачи по теме: Ряды Фурье. Разложить функцию y=π/4 – x/2 в интервале (0,π) в ряд по косинусам. Продолжим функцию четным образом. Разложить функцию y=x3 в интервале (-π,π) Разложить функцию y=ex в интервале (-l,l) Разложить функцию y=x(π-x) в ряд синусов в интервале (0,π). Использовать полученный результат для нахождения суммы ряда Разложить в ряд Фурье, построить графики функций и трех частичных сумм ряда Фурье F(x)= x при х от -pi до 0; 1 при х от =0 до pi (функция в интервале от -pi до pi) Найти преобразование Фурье для указанной функции: f(t)=sin(bt)*e^(-a*модуль t), где а больше нуля.

Добрый день! Предлагаю к просмотру решенные задачи по теме: Ряды Фурье.

Разложить функцию y=π/4 – x/2 в интервале (0,π) в ряд по косинусам. Продолжим функцию четным образом.

Разложение по косинусам.
Разложение по косинусам.

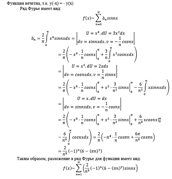
Разложить функцию y=x3 в интервале (-π,π)

Нечетная функция.
Нечетная функция.

Разложить функцию y=ex в интервале (-l,l)

-3
Ряд Фурье для показательной функции.
Ряд Фурье для показательной функции.

Разложить функцию y=x(π-x) в ряд синусов в интервале (0,π). Использовать полученный результат для нахождения суммы ряда

-5
Разложение по синусам.
Разложение по синусам.

Разложить в ряд Фурье, построить графики функций и трех частичных сумм ряда Фурье F(x)= x при х от -pi до 0; 1 при х от =0 до pi (функция в интервале от -pi до pi)

-7
-8

Найти преобразование Фурье для указанной функции: f(t)=sin(bt)*e^(-a*модуль t), где а больше нуля.

Преобразование Фурье.
Преобразование Фурье.