Добавить в корзинуПозвонить
Найти в Дзене

6-я и 4-я степени под знаком интеграла. Олимпиадное задание

Математика онлайн. Доступно о сложном. Серия «Задачи студенческих олимпиад» Здравствуйте, уважаемые любители математики! Можно, конечно же, разложить подынтегральную функцию на элементарные дроби. Однако этот способ приводит к громоздким вычислениям. Решим по-другому. Заметим, прежде всего, что знаменатель можно разложить по формуле суммы кубов. Далее, внимательно посмотрев на неполный квадрат суммы, увидим, что он отличается от числителя только слагаемым x^2. Вычтем и тут же прибавим в числителе x^2. Это даст возможность представить интеграл в виде суммы двух более простых интегралов. Первый интеграл после сокращения – табличный. Второй интеграл после внесения числителя под знак дифференциала тоже становится табличным. Кому так решать сложно – можно сделать замену, взяв x^3 за новую переменную. Осталось объединить полученные результаты. Задание - из книги "Задачи студенческих олимпиад по математике". Авторы-составители - Беркович Ф.Д., Федий В.С. Не забудьте подписаться на канал, ес

Математика онлайн. Доступно о сложном. Серия «Задачи студенческих олимпиад»

Вычислить интеграл. Задание из сборника задач студенческих математических олимпиад
Вычислить интеграл. Задание из сборника задач студенческих математических олимпиад

Здравствуйте, уважаемые любители математики!

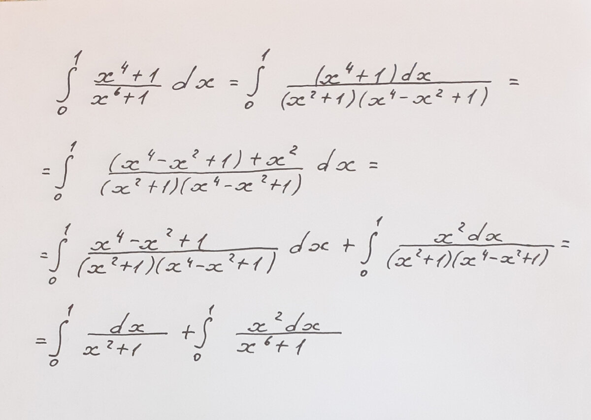
Можно, конечно же, разложить подынтегральную функцию на элементарные дроби. Однако этот способ приводит к громоздким вычислениям.

Решим по-другому.

Заметим, прежде всего, что знаменатель можно разложить по формуле суммы кубов.

Далее, внимательно посмотрев на неполный квадрат суммы, увидим, что он отличается от числителя только слагаемым x^2.

Вычтем и тут же прибавим в числителе x^2. Это даст возможность представить интеграл в виде суммы двух более простых интегралов.

Разбиваем интеграл на 2 более простых интеграла
Разбиваем интеграл на 2 более простых интеграла

Первый интеграл после сокращения – табличный.

Первое слагаемое
Первое слагаемое

Второй интеграл после внесения числителя под знак дифференциала тоже становится табличным. Кому так решать сложно – можно сделать замену, взяв x^3 за новую переменную.

Второе слагаемое
Второе слагаемое

Осталось объединить полученные результаты.

Получаем ответ
Получаем ответ

Задание - из книги "Задачи студенческих олимпиад по математике". Авторы-составители - Беркович Ф.Д., Федий В.С.

Не забудьте подписаться на канал, если

- Вам интересны вопросы, которые здесь разбираются;

- Вам могут потребоваться консультации по математике (подробнее здесь).

Другие статьи серии "Задачи студенческих олимпиад"

О канале

Рубрикатор канала

Тесты по математике