Добавить в корзинуПозвонить
Найти в Дзене

Устный счёт

Для учителя математики, не секрет, что на любом уроке в начальной школе и в пятом или шестом классе должен обязательно присутствовать устный счёт. И всегда возникает вопрос: как правильно его организовать, чтобы в работу включился каждый ребёнок. Основная часть программы по математике до шестого класса включительно нацелена на формирование навыков счёта. И задача учителя довести эти навыки до автоматизма. За тридцать лет работы в школе я перепробовала различные методы и приёмы организации этой важной составляющей части урока. Это: числовые цепочки, математическое лото, нахождение закономерностей, «лови ошибку», заполнение пропусков в решённых примерах. Все они в основном связаны с фронтальной работой, а этот метод как известно, имеет очень много минусов. И самый главный в том, что не каждый ребёнок может работать в быстром темпе, который рассчитан в основном на быстро думающих и хорошо успевающих учеников. Те, кто не успевают – просто сидят. Один из лучших способов проведения устного

Для учителя математики, не секрет, что на любом уроке в начальной школе и в пятом или шестом классе должен обязательно присутствовать устный счёт. И всегда возникает вопрос: как правильно его организовать, чтобы в работу включился каждый ребёнок.

Основная часть программы по математике до шестого класса включительно нацелена на формирование навыков счёта. И задача учителя довести эти навыки до автоматизма. За тридцать лет работы в школе я перепробовала различные методы и приёмы организации этой важной составляющей части урока. Это: числовые цепочки, математическое лото, нахождение закономерностей, «лови ошибку», заполнение пропусков в решённых примерах. Все они в основном связаны с фронтальной работой, а этот метод как известно, имеет очень много минусов. И самый главный в том, что не каждый ребёнок может работать в быстром темпе, который рассчитан в основном на быстро думающих и хорошо успевающих учеников. Те, кто не успевают – просто сидят.

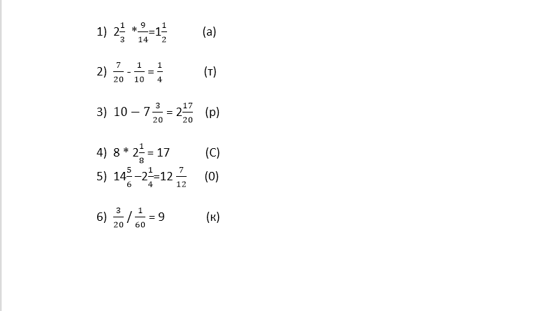
Один из лучших способов проведения устного счёта, на мой взгляд – это дать задание, проверить которое можно с помощью ключевого слова. Такое задание каждый ученик может выполнять в своём темпе. А учитель может быстро, по одному лишь слову, проверить верно ученик решил ряд примеров или где-то ошибся. Каждому примеру ставится в соответствие определённая буква. Числа, полученные в ответах и соответствующие им буквы нужно расставить по возрастанию или убыванию – это определяет учитель. Правильное выполнение задания учитель может поощрить отметкой.

Дети всегда любят интересные, необычные задания, кроссворды. Такие задания помогают осуществить и межпредметные связи, если ключевое слово связано с историей или географией, также дают возможность познакомить учеников с историей математики, организовать воспитательную работу на уроке.

Так в организации ряда уроков математики в шестом классе, я в качестве ключевого слова использовала имена героев древнегреческой мифологии. На уроках в пятом классе дети с интересом вычисляли числа, связанные с историей строительства Зимнего дворца.

Такие задания учителю несложно подготовить самостоятельно. Но можно в век интернета найти и готовые варианты.

У меня за годы работы в школе накопилось много таких заданий к каждому уроку по программе пятого и шестого класса. И я, чтобы мой труд не пропал даром, решила поделиться ими на своём канале.

Вот одно из таких заданий.

Расставьте числа, которые у вас получатся в ответе, по убыванию, и вы получите имя известного древнегреческого философа, который учил, что смысл жизни и назначение человека – делать добро.

Образец задания для устного счёта по теме "Обыкновенные дроби"
Образец задания для устного счёта по теме "Обыкновенные дроби"