Добавить в корзинуПозвонить
Найти в Дзене

Как избежать решения уравнения четвертой степени?

Математика онлайн. Доступно о сложном. Серия «Нестандартные задачи» Здравствуйте, уважаемые любители математики! Ищем способ решения уравнения Перед нами уравнение четвертой степени, следовательно, оно имеет не более четырех действительных корней. Если внимательно посмотреть на уравнение, то можно заметить, что в левой части стоят четыре последовательных числа. Так как 15 невозможно представить в виде произведения четырех последовательных целых чисел, то корни уравнения (если они есть) не будут целыми. Следовательно, подбором их найти не получится. Далее, если перемножить все выражения в левой части, то получим уравнение четвертой степени. Его решение выходит за рамки школьной программы. Как же тогда его решать? Заметим, что если перемножить первый и четвертый множители, а также второй и третий, то произведения будут отличаться только свободным членом. Следовательно, можно ввести новую переменную. Замена переменной Теперь уравнение превратилось в квадратное, которое легко решить при п
Оглавление

Математика онлайн. Доступно о сложном. Серия «Нестандартные задачи»

Здравствуйте, уважаемые любители математики!

Дано уравнение четвертой степени
Дано уравнение четвертой степени

Ищем способ решения уравнения

Перед нами уравнение четвертой степени, следовательно, оно имеет не более четырех действительных корней.

Если внимательно посмотреть на уравнение, то можно заметить, что в левой части стоят четыре последовательных числа. Так как 15 невозможно представить в виде произведения четырех последовательных целых чисел, то корни уравнения (если они есть) не будут целыми. Следовательно, подбором их найти не получится.

Далее, если перемножить все выражения в левой части, то получим уравнение четвертой степени. Его решение выходит за рамки школьной программы.

Как же тогда его решать?

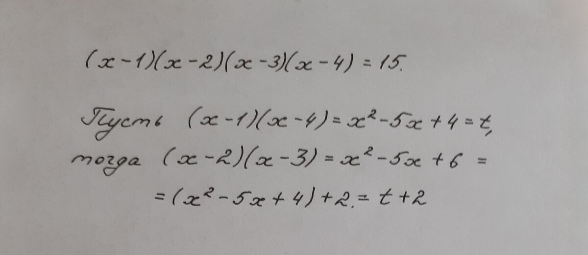
Заметим, что если перемножить первый и четвертый множители, а также второй и третий, то произведения будут отличаться только свободным членом.

Следовательно, можно ввести новую переменную.

Замена переменной

Замена переменной
Замена переменной

Теперь уравнение превратилось в квадратное, которое легко решить при помощи теоремы, обратной к теореме Виета.

Решение получившегося квадратного уравнения
Решение получившегося квадратного уравнения

Возвращаемся к первоначальной переменной. Решение исходного уравнения сводится к решению совокупности двух квадратных уравнений.

Решаем еще два квадратных уравнения
Решаем еще два квадратных уравнения

Первое уравнение не имеет действительных корней.

Решаем второе:

Исходное уравнение имеет два иррациональных корня
Исходное уравнение имеет два иррациональных корня

Ответ готов.

Не забудьте подписаться на канал, если

- Вам интересны вопросы, которые здесь разбираются;

- Вам могут потребоваться консультации по математике (подробнее здесь).

Все статьи серии «Нестандартные задачи»

О канале

Рубрикатор канала

Тесты по математике