Добавить в корзинуПозвонить
Найти в Дзене
Плагиату.НЕТ

Интегралы для чайников: как решить, правила вычисления, объяснение

Решение интегралов – задача легкая, но только для избранных. Эта статья для тех, кто хочет научиться понимать интегралы, но не знает о них ничего или почти ничего. Интеграл... Зачем он нужен? Как его вычислять? Что такое определенный и неопределенный интегралы? Изучаем понятие «интеграл» Интегрирование было популярно ещё в давние времена. Хотя это не использовалась в текущем варианте, но всё же. В ту эпоху математики написали книги на эту тему. Ньютон и Лейбниц отличались своими особенностями, но смысл вообще не поменялся. Прежде чем выяснить такое определение, вам всё еще необходимо базовое понимание принципов математического изучения. Неопределённый интеграл Предположим, мы используем данную функцию наподобие символов f (x). Непонятный интеграл f (x) – это формула с двумя буквами F (x), производная которой равна формула с двумя буквами f (x). Так или иначе, называется обратной производной или обратным интегралом. Кстати, рекомендуем прочесть статью про то, как их рассчитать. Он имеет
Оглавление

Решение интегралов – задача легкая, но только для избранных. Эта статья для тех, кто хочет научиться понимать интегралы, но не знает о них ничего или почти ничего. Интеграл... Зачем он нужен? Как его вычислять? Что такое определенный и неопределенный интегралы?

Изучаем понятие «интеграл»

Интегрирование было популярно ещё в давние времена. Хотя это не использовалась в текущем варианте, но всё же. В ту эпоху математики написали книги на эту тему. Ньютон и Лейбниц отличались своими особенностями, но смысл вообще не поменялся.

Прежде чем выяснить такое определение, вам всё еще необходимо базовое понимание принципов математического изучения.

Ньютон и Лейбниц
Ньютон и Лейбниц

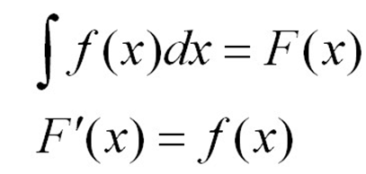
Неопределённый интеграл

Предположим, мы используем данную функцию наподобие символов f (x).

Непонятный интеграл f (x) – это формула с двумя буквами F (x), производная которой равна формула с двумя буквами f (x).

формула
формула

Так или иначе, называется обратной производной или обратным интегралом. Кстати, рекомендуем прочесть статью про то, как их рассчитать.

Он имеется для всех постоянных функций. Кроме того, нередко добавляется символ константы, поскольку производные различных функций константы подобны. Действие интегрального поиска – вот потому и является интеграцией.

Чтобы регулярно не пересчитывать примитивные простых функций, их пригодно объединить в таблицу и использовать готовую значительность.

таблица интегралов
таблица интегралов

Определенный интеграл

Это определение называется постоянной малой степенью, способная определить площадь фигуры, массу неоднородного тела, путь, по которому находится переменное движение и прочее. Стоит знать, что это сумма постоянно множества безмерно небольших слагаемых.

Для поиска площади фигуры по узкому графику функции необходимо использовать интеграл! Неровную трапецию, узкую по координатным осям и графику функции разделим на безмерно небольшие части. Это разделит фигуру на тонкие столбцы. Сумма величины столбцов является величиной трапеции. Однако не стоит забывать, что подобный расчёт придаст приблизительный итог. Но чем менее и уже сегменты, тем вернее станет расчётом. При их сокращении величина приблизится к нулевой отметки. Тогда сумма площадей сегментов устремится к площади фигуры.

Расстояние a и b являются пределами интегрирования. Для примера можно составить подобный график.

-4

Правила вычисления для чайников

Свойства неопределенного интеграла

Перед тем как решать, проанализируем самые подходящие особенности, пригодные для решения элементарных примеров.

Прежде всего, мы подчеркнём, что данное равенство относительное. Его следует понимать как равенство правой и левой частей с определённостью до любого постоянного слагаемого, поскольку каждый из них вычислен с определённостью до любого постоянного слагаемого.

Собственно, пусть F (x) – это будет интеграл для функции f (x), то бишь F’ (x) = f (x) Значит AF (x) – это для функции, Af (x), поскольку [AF (x)]’ = AF’ (x) = Af (x).

Данное равенство (также и в предыдущем свойстве) следует понимать как равенство правого и левого элементов с определённостью до свободного одинакового слагаемого, поскольку каждый из них вычислен с определённостью до свободного одинакового слагаемого.

Собственно, пусть F(x) и G(x) – используются для таких математических символов: f (x) и g (x), то бишь F’(x) = f(x), G’(x) = g(x). Значит F(x) + G(x) – это интеграл для математических символов, f (x) = g (x), поскольку [F(x) = G(x)’] = F’(x) + G’(x) = f(x) = g(x).

Подчеркнём, что это свойство объективно для любого конечного числа слагаемых функции.

Свойства неопределенного интеграла
Свойства неопределенного интеграла

Свойства определенного интеграла

Как его рассчитать? Для этого нужна формула Ньютона-Лейбница.

Мы уже узнали, что предельная сумма – это конкретный интеграл.

Допустим, формула y = f(x) обусловлена в интервале [a, b], a <b. Выполним следующие операции:

1) сперва мы разделим [a, b] точками a = x0<x1 <... <xi-1 <xi-1 <... <xn = b на n сегментов выборки [x0, x1], [x1, x2], [xi-1, xi], …, [xn-1, xn];

2) в каждом из фрагментарных отрезков [xi-1, xi], i = 1, 2, ... n, мы выбираем случайную точку и вычисляем в ней значимость функции: f (zi);

3) находим действия f (zi) · Δxi, где – длина неполного разреза [xi-1, xi], i = 1, 2, ... n;

4) создадим совокупную сумму y = f(x) на отрезке [a, b]

С учётом геометрии такая совокупность составляет необходимую сумму площадей прямоугольников, подтверждениями которых являются выборочные отрезки [x0, x1], [x1, x2], …, [xi-1, x1], …, [xn-1, xn], но высоты одинаковы f (z1), f (z2), ..., f (zn) сообразно.

Когда имеется последний предел объединенной суммы, и он не связан с особенностью деления на выборочные отрезки или выбора точек zi внутри них, то – это конкретный интеграл функции y = f (x) на отрезке [a, b].

Свойства определенного интеграла
Свойства определенного интеграла

Примеры решения интегралов

Далее разберём неточный интеграл и примеры с решениями. Рекомендуем самопроизвольно справиться в деталях решения, и, не разобравшись в них, спрашивайте в комментариях. Чтобы закрепить материал, найдите и смотрите любой видеоролик в интернете про то, как они решаются во время сессии или уроков в школе. Не стоит расстраиваться, если он не дан моментально. Обращайтесь в профессиональный сервис для студентов, и вы сможете обработать любой тройной или неровный интеграл с замкнутой поверхностью.

примеры решения интегралов
примеры решения интегралов