Найти в Дзене

РЕАЛЬНЫЙ ВАРИАНТ 2021. ХИМИЯ ЕГЭ

Приветствую вас, уважаемые читатели! В данной статье разберем часть 2 реального варианта ЕГЭ 2021. Задания записаны со слов обучающихся. Разобранных вариантов будет несколько, поэтому назовем его ВАРИАНТ1. Вещества: H2SO4, K2Cr2O7, FeSO4, NaCl, H2S, (NH4)2CO3 Задание 30 ОВР: с образованием трех солей. Задание 31 РИО: реагируют два сильных электролита с образованием осадка. Решение Задание 32 Хлорид кремния подвергли гидролизу, осадок отделили, а остаток прореагировал с фосфидом цинка. Выделяющийся газ пропустили через сернокислый раствор дихромата калия. Одну из образовавшихся солей внесли в раствор карбоната калия. Напишите уравнения четырех описанных реакций. Решение Задание 33 Напишите уравнения реакций, с помощью которых можно осуществить следующие превращения: Решение Задание 35 Тип задач: расчет по продуктам сгорания органического вещества. Вещество содержит четвертичный атом углерода в своем составе. При гидролизе получается соль органического вещества. Напишите уравнение взаимо

Приветствую вас, уважаемые читатели!

В данной статье разберем часть 2 реального варианта ЕГЭ 2021.

Задания записаны со слов обучающихся.

Разобранных вариантов будет несколько, поэтому назовем его ВАРИАНТ1.

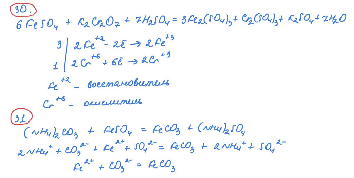
Вещества: H2SO4, K2Cr2O7, FeSO4, NaCl, H2S, (NH4)2CO3

Задание 30

ОВР: с образованием трех солей.

Задание 31

РИО: реагируют два сильных электролита с образованием осадка.

Решение

Рисунок 1. Решение заданий 30 и 31
Рисунок 1. Решение заданий 30 и 31

Задание 32

Хлорид кремния подвергли гидролизу, осадок отделили, а остаток прореагировал с фосфидом цинка. Выделяющийся газ пропустили через сернокислый раствор дихромата калия. Одну из образовавшихся солей внесли в раствор карбоната калия. Напишите уравнения четырех описанных реакций.

Решение

Рисунок 2. Решение задания 32
Рисунок 2. Решение задания 32

Задание 33

Напишите уравнения реакций, с помощью которых можно осуществить следующие превращения:

Рисунок 3. Цепочка превращений органических веществ
Рисунок 3. Цепочка превращений органических веществ

Решение

Рисунок 4. Решение задания 33
Рисунок 4. Решение задания 33

Задание 35

Тип задач: расчет по продуктам сгорания органического вещества.

Вещество содержит четвертичный атом углерода в своем составе. При гидролизе получается соль органического вещества.

Напишите уравнение взаимодействия органического вещества с щелочью.

Решение

Рисунок 5. Решение задания 35
Рисунок 5. Решение задания 35

Если есть вопросы или интересные задания, то пишите в комментариях! Заранее спасибо за обратную связь.

Не забываем поставить лайк этой статье и подписаться на канал!

Всем успехов в изучении химии!