Найти в Дзене
Эффективная История

НЕСОСТОЯТЕЛЬНОСТЬ ТЕОРИИ ОТНОСИТЕЛЬНОСТИ ЭЙНШТЕЙНА. РАЗДЕЛ 4. РАЗБОР ФОРМУЛ. ЧАСТЬ 2

В левой части равенств (1э, 2э), рассматривая события внутри системы «стержень», автор, как бы являясь наблюдателем в этой системе, берёт координаты, принадлежащие системе «движущийся стержень» как покоящейся [tA, tB, tA`], а в правой части берёт отношение величины системы «движущийся стержень» (RАВ) к гипотетическим величинам, принадлежащим покоящейся системе [RAB/(C - v)] и [RAB/(C + v)]. Такие рассуждения Эйнштейна вызывают серьёзные сомнения в адекватности его мышления. Получается, в покоящейся системе S (вне «стержневой») существуют две скорости света разной величины, что, согласно формуле (1) противоречит принятому самим Эйнштейном положению о том, что скорость света «С» изотропна во всех инерциальных системах отсчёта и представляет собой универсальную константу в пустоте, не зависящую ни от скорости системы, в которой он распространяется, ни от скорости излучателя сигнала: - 2|АВ| / (t A1 - t A) = C = Const А раз так, то не скорость света в покоящейся системе S должна иметь дв

В левой части равенств (1э, 2э), рассматривая события внутри системы «стержень», автор, как бы являясь наблюдателем в этой системе, берёт координаты, принадлежащие системе «движущийся стержень» как покоящейся [tA, tB, tA`], а в правой части берёт отношение величины системы «движущийся стержень» (RАВ) к гипотетическим величинам, принадлежащим покоящейся системе [RAB/(C - v)] и [RAB/(C + v)]. Такие рассуждения Эйнштейна вызывают серьёзные сомнения в адекватности его мышления.

Получается, в покоящейся системе S (вне «стержневой») существуют две скорости света разной величины, что, согласно формуле (1) противоречит принятому самим Эйнштейном положению о том, что скорость света «С» изотропна во всех инерциальных системах отсчёта и представляет собой универсальную константу в пустоте, не зависящую ни от скорости системы, в которой он распространяется, ни от скорости излучателя сигнала:

- 2|АВ| / (t A1 - t A) = C = Const

А раз так, то не скорость света в покоящейся системе S должна иметь две разные величины, а пути, пройденный лучом света, в прямом и обратном направлении. Неужели это не понятно?

На самом же деле (с учётом того, что стержень движется и представляет собой систему S`) взаимосвязи должны быть выражены следующим образом:

1) - с точки зрения движущейся системы (S`), соотношение величин внутри системы «движущийся стержень» будет выражаться как:

- (t`B`) - (t`A`) = R`/C; (2)

- (t`A`1) - (t`B`) = R`/C, (3)

где:

{(t`B`) - (t`A`)} = (t`B`)пр – это в системе «движущийся стержень» время движения луча света в прямом направлении от точки A` к точке B`;

{(t`A`1) - (t`B`)} = (t`B`)обр – это в системе «движущийся стержень» время движения луча света в обратном направлении от точки B` к точке A`1.

Как видно, непосредственно в системе «движущийся стержень» имеет место:

- (t`B`)пр = (t`B`)обр. (4)

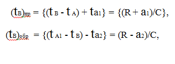
2) - с точки зрения вне «стержневой» покоящейся системы (S), соотношение величин внутри системы «движущийся стержень» будет выглядеть иначе:

Рисунок Автора
Рисунок Автора

- (tB)пр = {(t B - t A) + ta1} = {(R + a1)/C}, (5)

- (tB)обр = {(t A1 - t B) - ta2} = (R - a2)/C, (6)

где:

{(t B - t A) + ta1} = (t пр) – это, c точки зрения покоящейся системе S, время движения луча света в системе «движущийся стержень» в прямом направлении от точки A до удаляющейся от неё точке B;

{(t A - t B) - ta2} = (t обр) – это, с точки зрения покоящейся системы S, время движения луча света в системе «движущийся стержень» в обратном направлении от точки B к приближающейся к ней точки A;

а1 и а2 – это расстояния, пройденные (с точки зрения покоящейся системы) концами движущегося стержня A и B за время распространения луча света внутри движущегося стержня от точки A к точке B (в прямом направлении) и, соответственно, от точки B к точке A (в обратном направлении).

Тогда (с точки зрения покоящейся системы S) равенства (5) и (6) будут иметь вид:

в прямом направлении:

(t пр ) = [t (R + a1) ) - t A] = [{(R + a1)/C} - (A/C)], (5a)

в обратном направлении (t обр) = {t (R - a2)} = [(R - a2)/C]. (6a)

Здесь, как видно (t пр ) > (t обр), т.е. (t пр ) # (t обр). (7)

Сравнивая эйнштейновские формулы (1э, 2э) с нашими формулами (5а, 6а), мы видим, что они не соответствуют друг другу:

в прямом направлении [R`AB/(C - v)] # [{(R + a1)/C} - (A/C)], (9)

в обратном направлении [R`AB/(C + v)] # [(R - a2)/C], (10)

что касается эйнштейновских соотношений (1э, 2э) , то ниже мы покажем их несостоятельность.

(продолжение следует)

Интерактивный каталог для ориентировании в серии публикаций доступен по ссылке.