Добавить в корзинуПозвонить
Найти в Дзене
Просто о математике

Страшное, но очень несложное уравнение )

х^2 – 2х + √(6 – х) = √(6 – х) + 35 Я взяла его из сборника тренировочных вариантов ОГЭ, и такое уравнение может встретиться в задании 20 второй части (кто готовится к ОГЭ, поймёт))) Итак, приступим! (Краткая запись решения ждёт вас в конце статьи:) Первый шаг - это понять, что от нас требуется. Раз тут стоит знак равно, то это уравнение, а значит, мы должны найти значение(я) "Х". Для удобства перенесём всё в одну сторону от знака равно. Напомню, что если мы переносим какие-либо числа в противоположную от знака равно сторону, то они меняют знак. То есть если справа мы видим √(6 – х) + 35, то перенести влево должны - √(6 – х) - 35. Итак, слева у нас получается
х^2 – 2х + √(6 – х) - √(6 – х) - 35, а справа ничего не остаётся, а значит, ставим ноль. Итог шага №2: х^2 – 2х + √(6 – х) - √(6 – х) – 35 = 0 Теперь мы наблюдаем замечательную картину: слагаемые
√(6 – х) и - √(6 – х) равны по модулю и противоположны по знаку, а значит, они "взаимоуничтожаются". Но совсем забывать о них пока р

Привет! Разберемся, как решать подобные уравнения:
х^2 – 2х + √(6 – х) = √(6 – х) + 35

Я взяла его из сборника тренировочных вариантов ОГЭ, и такое уравнение может встретиться в задании 20 второй части (кто готовится к ОГЭ, поймёт)))

Итак, приступим! (Краткая запись решения ждёт вас в конце статьи:)

  • Шаг №1

Первый шаг - это понять, что от нас требуется. Раз тут стоит знак равно, то это уравнение, а значит, мы должны найти значение(я) "Х".

  • Шаг №2

Для удобства перенесём всё в одну сторону от знака равно. Напомню, что если мы переносим какие-либо числа в противоположную от знака равно сторону, то они меняют знак. То есть если справа мы видим √(6 – х) + 35, то перенести влево должны - √(6 – х) - 35. Итак, слева у нас получается
х^2 – 2х + √(6 – х) - √(6 – х) - 35, а справа ничего не остаётся, а значит, ставим ноль.

Итог шага №2: х^2 – 2х + √(6 – х) - √(6 – х) – 35 = 0

  • Шаг №3

Теперь мы наблюдаем замечательную картину: слагаемые
√(6 – х) и - √(6 – х) равны по модулю и противоположны по знаку, а значит, они "взаимоуничтожаются". Но совсем забывать о них пока рано.

Элемент √(6 – х) помогает нам сформировать ОДЗ (область допустимых значений). ОДЗ показывает, каким числом "Х" может быть, а каким нет. Например, если в ОДЗ отмечено, что "Х" не равен нулю, то мы не можем записать в ответ корень ноль, даже если и получили его во время вычислений. Обратимся к нашей ситуации.

Дело в том, что под корнем не может стоять отрицательное число. В этом случае выражение просто не будет иметь смысла. При возведении числа в квадрат в любом случае получится положительное число, а значит и корень можно извлечь только из положительного числа.

Чтобы под корнем получилось положительное число (ну или хотя бы ноль), неизвестный нам "Х" должен быть меньше или равным 6.

Итог шага №3: х^2 – 2х – 35 = 0; ОДЗ: х ≤ 6

  • Шаг №4:

Нам осталось справиться с достаточно простым квадратным уравнением. Давайте вспомним формулу дискриминанта и корней:

Формула дискриминанта и корней квадратного уравнения
Формула дискриминанта и корней квадратного уравнения

Итак, приступаем к решению!

х^2 – 2х – 35 = 0

D = 4 – 4*1*(- 35) = 4 + 140 = 144 = 12^2

х1 = (2 + 12)/2 = 7

х2 = (2 - 12)/2 = - 5

Мы получили два корня. Но первый корень "7" нам не подходит, потому что он больше шести, а ранее мы говорили о том, что "Х" или равен, или меньше шести. Значит, корень у нас только один, и это – 5

Ответ: - 5

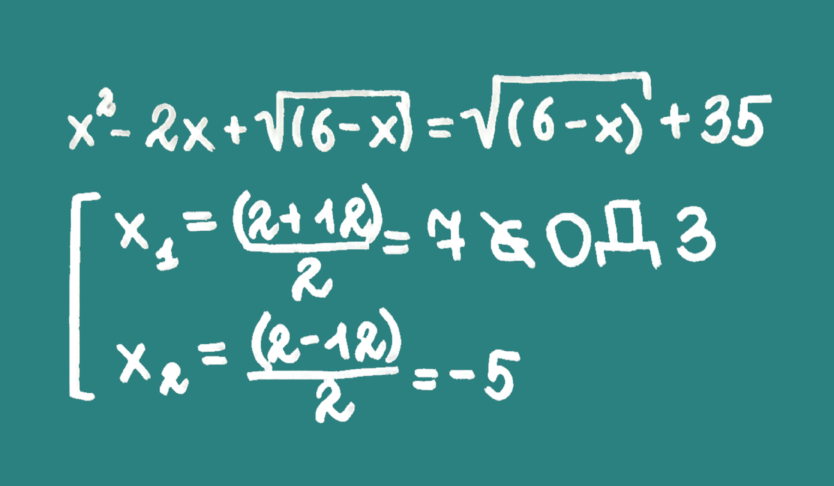
А вот так выглядит решение без лишних пояснений:

Решение, которое можно переписать в тетрадь)
Решение, которое можно переписать в тетрадь)

Надеюсь, всё было максимально понятно:)

До новых встреч!!