Добавить в корзинуПозвонить
Найти в Дзене
Просто о математике

Задание из второй части ОГЭ: Найдите значения выражения 31a – 4b + 55, если (a – 4b + 7)/(4a – b + 7) = 8.

Привет! Сегодня узнаем, как решать подобные задания: Найдите значения выражения 31a – 4b + 55,
если (a – 4b + 7)/(4a – b + 7) = 8. Итак, приступим! (Краткая запись решения есть в конце статьи) На первый взгляд это задание весьма абсурдно. Если вы видите его впервые, то можете растеряться и запутаться:( Но мы найдём выход! Запомните, что начинаем работу в подобных заданиях мы с конца (то есть с уравнения), а потом решение само нас найдёт:) Поехали! Начинаем работать с уравнением. И в первую очередь неплохо было бы избавиться от знаменателя дроби. Для этого умножим обе части уравнения на этот знаменатель, то есть на выражение (4a – b + 7). Тогда в левой части уравнения дробь сократится, а справа останется 8*(4a – b + 7). Для того, чтобы лучше разобраться, посмотрите на подробное решение: Итог шага №1: (a – 4b + 7) = 8*(4a – b + 7) Теперь перенесем все части уравнения в одну сторону. Напомню, что при переносе элемента в противоположную сторону он меняет знак. То есть если справа мы в

Привет! Сегодня узнаем, как решать подобные задания:

Найдите значения выражения 31a – 4b + 55,
если (a – 4b + 7)/(4a – b + 7) = 8.

Итак, приступим! (Краткая запись решения есть в конце статьи)

На первый взгляд это задание весьма абсурдно. Если вы видите его впервые, то можете растеряться и запутаться:( Но мы найдём выход!

Запомните, что начинаем работу в подобных заданиях мы с конца (то есть с уравнения), а потом решение само нас найдёт:) Поехали!

  • Шаг №1

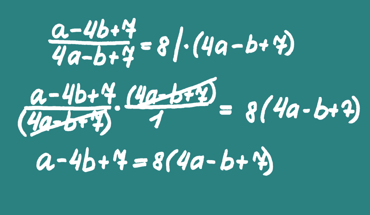
Начинаем работать с уравнением. И в первую очередь неплохо было бы избавиться от знаменателя дроби. Для этого умножим обе части уравнения на этот знаменатель, то есть на выражение (4a – b + 7). Тогда в левой части уравнения дробь сократится, а справа останется

8*(4a – b + 7).

Для того, чтобы лучше разобраться, посмотрите на подробное решение:

Как избавиться от знаменателя?
Как избавиться от знаменателя?

Итог шага №1: (a – 4b + 7) = 8*(4a – b + 7)

  • Шаг №2

Теперь перенесем все части уравнения в одну сторону. Напомню, что при переносе элемента в противоположную сторону он меняет знак. То есть если справа мы видим 8*(4a – b + 7), то перенести влево должны
- 8*(4a – b + 7). Справа у нас при этом ничего не остаётся, следовательно, ставим ноль. Итак, мы получили

(a – 4b + 7) - 8*(4a – b + 7) = 0

Раскроем скобки и приведем подобные слагаемые:

a – 4b + 7 – 32а + 8b – 56 =0

- 31а + 4b – 49 = 0

Теперь перенесем все числовые значения вправо, а буквенные оставим слева:

- 31а + 4b = 49

И на этом этапе замечаем, что наша буквенная часть - 31а + 4b очень похожа на ту, что дана нам в первой части задания: 31a – 4b + 55. Отличаются только знаки. Но это легко исправить: умножим наше уравнение на – 1. Тогда все знаки поменяются на противоположные!

- 31а + 4b = 49│*(- 1)

31а - 4b = - 49

Итог шага №2: мы выяснили, что 31а - 4b = - 49

  • Шаг №3

Теперь нам осталось переписать выражение 31a – 4b + 55, значение которого нужно найти, заменив буквенную часть 31a – 4b на её числовое значение, которое мы нашли, то есть на – 49.

31a – 4b + 55 = - 49 + 55 = 6

Это и есть наш ответ!

Ответ: 6

А вот так выглядит решение без лишних пояснений:

Решение, которое можно переписать в тетрадь)
Решение, которое можно переписать в тетрадь)

Надеюсь, всё было максимально понятно:)

До новых встреч!!