Добавить в корзинуПозвонить
Найти в Дзене
Онлайн поневоле

НЕ снижать баллы за непреобразованные ответы!

Сравните два решения прототипа номера 20 в ОГЭ: Оба решения на 2 балла. Непреобразованный ответ не является аргументом для снижения оценки за решение. Номер 13 в ЕГЭ также может иметь разные формы записи ответа. Но какая бы ни была форма записи ответа - главное, что она верная!

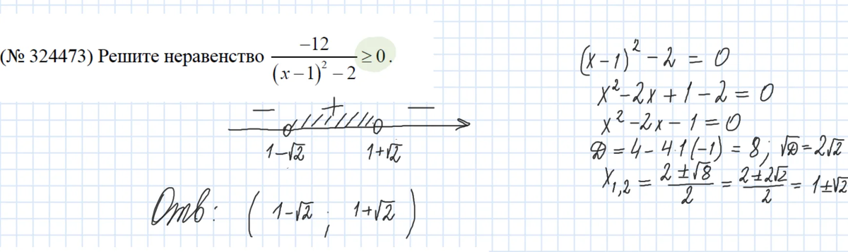
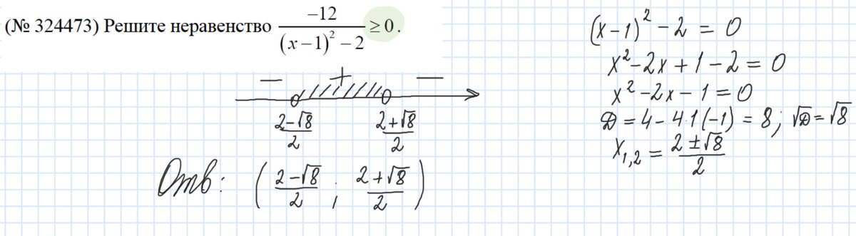
Сравните два решения прототипа номера 20 в ОГЭ:

-2

Оба решения на 2 балла. Непреобразованный ответ не является аргументом для снижения оценки за решение.

Номер 13 в ЕГЭ также может иметь разные формы записи ответа. Но какая бы ни была форма записи ответа - главное, что она верная!