Добавить в корзинуПозвонить
Найти в Дзене
pro100 математика

Формулы сокращенного умножения! №8 ОГЭ

Рассмотрим тему формулы сокращенного умножения, она изучается в 7 классе, но встречается в задании №8 ОГЭ. Давайте рассмотрим 3 главные формулы, которые встречаются в экзамене: Рассмотрим как их применить в деле! Упростить выражение с помощью формул: Вычислите выражение: Вот и всё!) Теперь ты сможешь решить задание №8 ОГЭ!
Оглавление

Рассмотрим тему формулы сокращенного умножения, она изучается в 7 классе, но встречается в задании №8 ОГЭ.

Давайте рассмотрим 3 главные формулы, которые встречаются в экзамене:

  • Для того чтобы понимать откуда взялась формула №1, можно банально перемножить 2 скобки друг на друга, вот и всё, получается наше формула сокращенного умножения. То есть нам облегчили и сократили шаги умножения;
  • Формула №2, 3 образуется таким же образом, перемножаем две одинаковых скобки друг на друга и получаются наши формула сокращенного умножения.

Рассмотрим как их применить в деле!

Упростить выражение с помощью формул:

-2

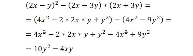
Вычислите выражение:

-3

Вот и всё!) Теперь ты сможешь решить задание №8 ОГЭ!