Добавить в корзинуПозвонить
Найти в Дзене
pro100 математика

Что такое степени? №6 ОГЭ

Степень — очень важная тема. Нам необходимо знать Для этого давайте рассмотрим правила: Во-первых, степень или показатель, находится вверху вашего числа и записывается маленькой цифрой!) Во-вторых, чтобы посчитать число в степени, нам необходимо умножить число само на себя столько раз, сколько указано в степени. В-третьих, для расчёта степеней есть 8 основных правил: Внимательно рассмотрим каждое из правил! Вот и всё!) Это все правила, с помощью которых мы легко и просто можем решить любой пример со степенью.
Оглавление

Степень — очень важная тема. Нам необходимо знать

  1. Что такое степень?
  2. Как вычислить значение числа, если оно возведено в степень?
  3. Как считать целые выражения, где есть степень?

Для этого давайте рассмотрим правила:

Во-первых, степень или показатель, находится вверху вашего числа и записывается маленькой цифрой!)

Во-вторых, чтобы посчитать число в степени, нам необходимо умножить число само на себя столько раз, сколько указано в степени.

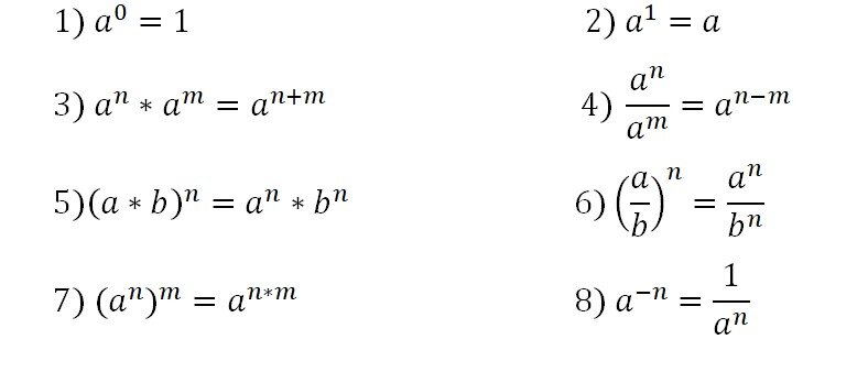
В-третьих, для расчёта степеней есть 8 основных правил:

-2

Внимательно рассмотрим каждое из правил!

  1. Любое число в нулевой степени равно 1;
  2. Любое число в первой степени равно самому себе;
  3. При умножении двух одинаковых чисел с разными степенями, число переписываем, а степени складываем;
  4. При делении двух одинаковых чисел с разными степенями, число переписываем, а степени вычитаем;
  5. При умножении двух разных чисел с одинаковой степенью, мы можем ее как вынести за скобу, так и вернуть обратно;
  6. При делении двух разных чисел с одинаковой степенью, мы можем ее как вынести за скобу, так и вернуть обратно;
  7. При возведении числа в степень, которое уже находится в какой-то степени, число переписывается, а степени перемножаются;
  8. Число в отрицательной степени посчитать нельзя, поэтому меняем степень с помощью правила на положительную. Нам необходимо 1 разделить на то же самое число, но уже в положительной степени.

Вот и всё!) Это все правила, с помощью которых мы легко и просто можем решить любой пример со степенью.