Добавить в корзинуПозвонить
Найти в Дзене
Trifler

Как быстро возвести в квадрат числа от 39 до 61?

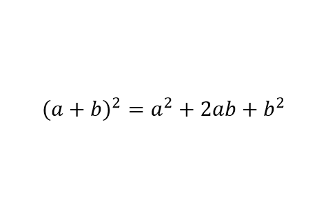
Здравствуйте! Сегодня мы разберемся, как без калькулятора и вычислений в столбик возвести в квадрат числа от 39 до 61! Как ни странно, для этого нам понадобится вспомнить формулу квадрата суммы:
Давайте подумаем, какое двузначное число, в промежутке от 39 до 61 легко и просто возводится квадрат? Совершенно верно, это число 50! Тогда, нам нужно придумать, как выразить квадраты остальных чисел

Здравствуйте! Сегодня мы разберемся, как без калькулятора и вычислений в столбик возвести в квадрат числа от 39 до 61! Как ни странно, для этого нам понадобится вспомнить формулу квадрата суммы:

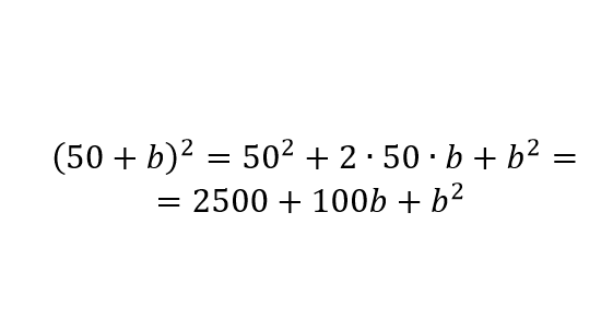
Давайте подумаем, какое двузначное число, в промежутке от 39 до 61 легко и просто возводится квадрат? Совершенно верно, это число 50! Тогда, нам нужно придумать, как выразить квадраты остальных чисел через квадрат пятидесяти. Да очень просто, нужно просто связать их через формулу квадратов, подставив туда, вместо а число 50. Посмотрим, что у нас при этом получается:

Основная формула
Основная формула

На самом деле, после этой формулы все вычисления сводятся к минимуму. Теперь попробуем возвести в квадрат, какое-нибудь близкое к 50 число, например 52:

-3

Как мы видим, так считать гораздо быстрее и легче, чем пытаться напрямую возводить в квадрат. А что же делать в том случае, когда число меньше пятидесяти. Возьмем, например, 39. Да все тоже самое, только не стоит забывать, что теперь нам нужно отнимать разницу от пятидесяти, а не прибавлять ее. Итак, представим число 39 в виде разности чисел 50 и 11 и применим нашу формулу:

-4

Словесно это правило можно сформулировать так:

Если число меньше 50, то, чтобы возвести его в квадрат, нужно из 2500 100 раз вычесть разность между этим числом и пятьюдесятью и прибавить квадрат этой разности. Если же число больше 50, то разность нужно 100 раз не вычитать, а, наоборот, прибавлять.

В текстовой форме это выглядит довольно громоздко, но если посмотреть на формулу, то этот алгоритм становится совсем коротким. С помощью этой нехитрой уловки можно легко считать квадраты многих двузначных чисел.

Почему я ограничила диапазон и взяла только числа от 39 до 61? т.к. в формуле необходимо возводить разность между пятьюдесятью и нашим число в квадрат, то удобно будет считать только те числа, которые отличаются от 50 не больше, чем на 11. Т.к. 12,13 и т.д. уже тяжелее возводить в квадрат.

-5

Делитесь своими лайфхаками для сложных вычислений.

Буду рада, если подпишитесь на канал и оцените данную статью!