Добавить в корзинуПозвонить
Найти в Дзене

ОГЭ. Математика. 20 задание - алгебраическое выражение. Куча ошибок. Разберёмся, что к чему

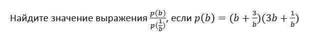
Условие:
Многие ученики впадают в ступор, видя такое условие, ведь они привыкли работать с обыкновенными уравнениями или неравенствами. Но в этом выражении, по сути, нет ничего сложного. Итак что мы видим? Нам нужно найти какое-то отношение. По сути, значение дроби. Что за дробь?
В этой дроби числитель нам уже известен и записан. Но что делать со знаменателем? Почему 1/b? Сейчас разберёмся.
Итак,

Условие:

Многие ученики впадают в ступор, видя такое условие, ведь они привыкли работать с обыкновенными уравнениями или неравенствами. Но в этом выражении, по сути, нет ничего сложного. Итак что мы видим? Нам нужно найти какое-то отношение. По сути, значение дроби. Что за дробь?

В этой дроби числитель нам уже известен и записан. Но что делать со знаменателем? Почему 1/b? Сейчас разберёмся.

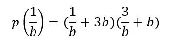
Итак, если мы внимательным образом посмотрим, по сути, нам дана некая функция p(b). Те же x и y, только p и b. Как нам известно, вместо x можно подставлять различные значения и получать разные y. Если p(b) - это функция зависимости p от b (как y от x), то вместо b можно подставить любое число, не равное 0 (подумайте, почему не равное 0). Поэтому вместо b в выражение p(b) можно подставить 1/b и получить новое значение выражения p(1/b). Сделаем это:

-2

Итак, мы получили значение функции p(1/b). Но что дальше? Дальше внимательный ученик увидит, что p(b) = p(1/b). И что это значит? Это значит, что числитель равен знаменателю, а значит значение дроби равно 1. Это и есть ответ.

ВАЖНО! Многие ученики начинают пытаться раскрывать скобки в надежде, что что-то сократится, что-нибудь они вынесут и так далее. Не надо этого делать. Всегда подумайте, прежде чем раскрывать скобки, потому что раскрытие скобок - самое последнее, что нужно делать, так как чаще всего на раскрытии скобок и сыпятся ученики - забудут минус написать, забудут умножить и так далее. Поэтому раскрытие скобок - последнее средство решения задачи.

ПОНРАВИЛАСЬ СТАТЬЯ? ОБЯЗАТЕЛЬНО ПОДПИШИСЬ И ПОСТАВЬ ЛАЙК! ТАКЖЕ ПОДПИСЫВАЙСЯ НА МЕНЯ ВКОНТАКТЕ ПО ССЫЛКЕ: https://vk.com/hello_there_2021 Удачи!

P.S. Пишите в комментарии или в личку задачи, которые были бы Вам интересны для разбора или которые вызывают трудности. Постараюсь всем ответить!