Найти в Дзене
Математика не для всех

Как решить уравнение с двумя неизвестными?

Диофантовы уравнения - лично для меня одно из самых красивых направлений математики. Они представляют собой уравнения с минимум двумя неизвестными, решения которых необходимо искать только в целых числах. Давайте решим наиболее простое из диофантовых уравнений - линейное с двумя переменными, а в следующих материалах уже перейдем к более сложным. Итак: Тривиальное решение этого уравнения (4,0), а что же с остальными? Для начала выразим одну переменную через другую: Выбираем значение y=3n, исходя из того, чтобы x в любом случае было целым (тройка в знаменателе сокращается). Теперь осталось просто выразить x: Как всегда, не лишним будет проверить решение при произвольном n: Конечно, есть еще несколько способов решения таких линейных диофантовых уравнений: например, методом Евклида или даже, самым красивым по моему мнению, геометрическим. Спасибо за внимание!

Диофантовы уравнения - лично для меня одно из самых красивых направлений математики. Они представляют собой уравнения с минимум двумя неизвестными, решения которых необходимо искать только в целых числах.

Один из самых известных древнегреческих математиков - Диофант Александрийский. Источник: http://900igr.net/up/datai/259378/0008-005-.jpg
Один из самых известных древнегреческих математиков - Диофант Александрийский. Источник: http://900igr.net/up/datai/259378/0008-005-.jpg

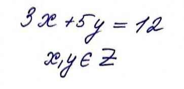
Давайте решим наиболее простое из диофантовых уравнений - линейное с двумя переменными, а в следующих материалах уже перейдем к более сложным. Итак:

-2

Тривиальное решение этого уравнения (4,0), а что же с остальными? Для начала выразим одну переменную через другую:

-3

Выбираем значение y=3n, исходя из того, чтобы x в любом случае было целым (тройка в знаменателе сокращается). Теперь осталось просто выразить x:

-4

Как всегда, не лишним будет проверить решение при произвольном n:

-5

Конечно, есть еще несколько способов решения таких линейных диофантовых уравнений: например, методом Евклида или даже, самым красивым по моему мнению, геометрическим. Спасибо за внимание!

Читайте также: