Добавить в корзинуПозвонить
Найти в Дзене
Андрей Орлов

Немного об относительности

"Из тех, кто любит кошек, никто их не пробовал"
Примерно так же обстоят дела и с Теорией Относительности. Одни её хвалят, другие ругают, третьи вообще не понимают, но на самом деле её почти никто не читал.

"Из тех, кто любит кошек, никто их не пробовал"

Примерно так же обстоят дела и с Теорией Относительности. Одни её хвалят, другие ругают, третьи вообще не понимают, но на самом деле её почти никто не читал. Кто из вас действительно пытался раскурить этот букварь в оригинале?

К примеру, известный физик-теоретик Tony Rothman проводил недавно коллоквиум по проблемам относительности в одном из ведущих американских университетов. И неожиданно выяснил, что из примерно ПОЛУСОТНИ присутствовавших физиков (несомненно, поклонников Эйнштейна) НИ ОДИН никогда не читал его оригинальных статей, включая ЭСТО!

Так вот, в этой статье я простым человеческим языком объясню за что и почему я критикую ТО Эйнштейна, но для начала предлагаю всё-таки ознакомиться с оригинальной теорией автора, изложенной в статье " К ЭЛЕКТРОДИНАМИКЕ ДВИЖУЩИХСЯ ТЕЛ " и сделать самостоятельную попытку понять, о чём и как там говориться. На самом деле вся основа теории и её суть находятся в первых двух параграфах и остальные выводы с кучей формул можно уже не читать.

Начнём с определения одновременности, которое дал Эйнштейн:

" Если в точке A пространства помещены часы, то наблюдатель, находящийся в A, может устанавливать время событий в непосредственной близости от A путём наблюдения одновременных с этими событиями положений стрелок часов. Если в другой точке B пространства также имеются часы (мы добавим: «Точно такие же часы, как в точке А»), то в непосредственной близости от B тоже возможна временная оценка событий находящимся в B наблюдателем. Однако невозможно без дальнейших предположений сравнивать во времени какое-либо событие в A с событием в B; мы определили пока только «А-время» и «В-время», но не общее для А и В «время». Последнее можно установить, введя определение, что «время», необходимое для прохождения света из A в B, равно «времени», требуемому для прохождения света из B в А. Пусть в момент tА по «А-времени» луч света выходит из А в B, отражается в момент tВ по «В-времени» от В к А и возвращается назад в А в момент tА' по «А-времени». Часы в A и B будут идти, согласно определению, синхронно, если

tВ ─ tА = tА' ─ tВ "

Пока всё это не вызывает вопросов и установить таким образом синхронность часов можно не только с помощью луча света, но и с помощью звука или любого предмета, движущегося с постоянной скоростью - формула будет верна. А вот дальше начинается ловкость рук, которую очень многие не понимают:

" Каждый луч света движется в «покоящейся» системе координат с определенной скоростью V, независимо от того, испускается ли этот луч света покоящимся или движущимся телом ".

Это просто постулат, который ввёл Эйнштейн в своей теории без всяких обоснований и его пропустили. А ведь именно из-за него и все проблемы. Следующий параграф теории полностью можно почитать по линку, а я перескажу вкратце.

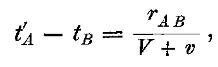
Итак, возьмём стоящего с часами наблюдателя, от которого удаляется металлический стержень, расположенный вдоль его линии наблюдения и имеющий на каждом конце по часам. Все часы в момент начала движения были синхронизированы и показывали одинаковое время, но что произойдёт с ними, когда стержень будет двигаться? Согласно выводам и ПОСТУЛАТУ, сделанным ранее, часы на стержне находятся в покоящейся системе относительно друг друга, а скорость света в покоящейся системе постоянна и часы останутся синхронизированы, а вот относительно наблюдателя стержень движется, но и в его системе отсчёта скорость света будет постоянной. При этом получится, что свет от ближнего до дальнего конца стержня идёт дольше, чем назад, т.к. стержень движется со своей скоростью V и формула приобретает вот такой вид:

и
и
-3

Другими словами - для стороннего наблюдателя нарушилась синхронность часов на концах стержня, а т.к. скорость света постоянна, то это значит, что изменились геометрические размеры стержня и с увеличением его скорости длина будет уменьшаться, пока он не сплющится при скорости света. Вы уже поняли в чём проблема???

Давайте на другом примере. Я не зря писал выше, что синхронность часов по принципу введённому Эйнштейном можно установить любым предметом, движущимся с постоянной скоростью. Возьмём эскалатор или движущуюся ленту транспортёра и человека с часами, который может по ней ходить. Пока эскалатор стоит человек за одинаковое время может пройти из одного конца в другой и обратно. Но если эскалатор начнёт двигаться, то по ходу его движения человек быстрее дойдёт до другого конца, т.к. его скорость складывается со скоростью эскалатора, а в обратном направлении наоборот он будет идти дольше. Значит ли это, что размеры эскалатора изменились, когда он начал двигаться??? А если эскалатор будет двигаться в обратном направлении со скорость человека и он вообще не сможет дойти до другого конца, то его размеры стали бесконечными? Совсем плохо станет, если эскалатор начнёт двигаться быстрее человека. В этом случае его размер станет отрицательным, т.к. человек вообще не сможет на него зайти и будет всегда находиться в начальной точке. Если продолжать по этой теории и её формулам, то скорость человека станет максимально возможной достижимой скоростью для любого объекта во вселенной.

А ведь это основополагающий принцип теории и без него всё остальное не имеет никакого смысла. Именно из него появилась всем известная формула энергии и именно поэтому получилось, что скорость света нельзя преодолеть. Но это всё только голая математика, не имеющая ничего общего с реальностью. Нет никаких отдельных систем координат и точек отсчёта. Нет никакого изменения размеров при движении. Нет никакого увеличения массы при увеличении скорости и это уже доказано экспериментально.

Мне могут возразить, что многие выводы Эйнштейна были многократно подтверждены экспериментально, в том числе и изменение хода времени в зависимости от скорости и гравитации, но с тем же успехом эти эксперименты подтвердили бы и эфирную теорию Лоренца. У них много общего, но из-за разных взглядов эксперименты получили бы разные объяснения.