Добавить в корзинуПозвонить
Найти в Дзене
Gamer's hideout

Квадратура круга - вся суть простыми словами

Вы сталкивались с выражением "квадратура круга"? Его зачастую используют как обозначение чего-то невыполнимого. Но почему это так? Давайте разбираться! В чем суть задачи? Квадратура круга — задача, заключающаяся в нахождении способа построения с помощью циркуля и линейки квадрата , равновеликого по площади данному кругу . Наряду с трисекцией угла и удвоением куба , является одной из самых известных неразрешимых задач на построение с помощью циркуля и линейки. Древнегреческие математики своей задачей считали не вычисление, а точное построение искомого квадрата («квадратуру »), причём, в соответствии с тогдашними принципами, только с помощью циркуля и линейки . Проблемой занимались крупнейшие античные учёные — Анаксагор , Архимед , Спор и другие. Но решить ее удалось только в конце 19 века, о чем будет сказано далее. Попытка решения. Для начала попробуем решить задачу и понять, что не дает ее решить. Еще раз вспомним условие: дан круг с известным радиусом, и нужно с помощью циркуля

Вы сталкивались с выражением "квадратура круга"? Его зачастую используют как обозначение чего-то невыполнимого. Но почему это так? Давайте разбираться!

В чем суть задачи?

Квадратура круга — задача, заключающаяся в нахождении способа построения с помощью циркуля и линейки квадрата , равновеликого по площади данному кругу . Наряду с трисекцией угла и удвоением куба , является одной из самых известных неразрешимых задач на построение с помощью циркуля и линейки.

Древнегреческие математики своей задачей считали не вычисление, а точное построение искомого квадрата («квадратуру »), причём, в соответствии с тогдашними принципами, только с помощью циркуля и линейки . Проблемой занимались крупнейшие античные учёные — Анаксагор , Архимед , Спор и другие. Но решить ее удалось только в конце 19 века, о чем будет сказано далее.

Попытка решения.

Для начала попробуем решить задачу и понять, что не дает ее решить. Еще раз вспомним условие: дан круг с известным радиусом, и нужно с помощью циркуля и линейки построить равновеликий ему квадрат.

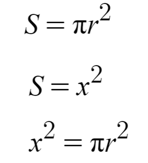
«Равновеликий» означает, что их площади равны. Значит можно отдельно посчитать площади квадрата, со стороной х, и круга:

S  – площадь, r  – радиус круга.
S – площадь, r – радиус круга.

Приравниваем:

-3

Теперь проанализируем уравнение: радиус известен, извлекать квадратный корень из числа и перемножать два отрезка с помощью циркуля и линейки возможно. Остается построить отрезок, равный π. Но как это сделать?

Трансцендентные числа.

Трансцендентные числа – это числа, которые не могут быть корнями многочленов с целыми коэффициентами вида:

-4

В 1882 году Линдеман доказал трансцендентность числа π.

Из этого следует, что π нельзя представить, как корень многочлена с целыми коэффициентами. А значит нельзя построить с помощью циркуля и линейки.

Приближенное решение.

Если округлить число √π и √2 до сотых (√π≈3,14 и √2≈1,41), то можно с достаточно большой точностью построить квадрат, равновеликий данной окружности:

D – диагональ квадрата, r – радиус круга, a – сторона квадрата.
D – диагональ квадрата, r – радиус круга, a – сторона квадрата.

В результате получаем, что диагональ искомого квадрата равна 2,5 радиусам окружности. По теореме Пифагора находим стороны квадрата:

-6

Источники:

· Савватеев А. В. Построения с помощью циркуля и линейки/А.В. Савватеев//Вехи математики. -2020 - №2. – С 5-6

· Щетников, А. И. Как были найдены некоторые решения трёх классических задач древности?/ А.И. Щетников// Матем. обр. - 2008 - выпуск 4 – С. 3-15

· Перельман, Я.И. Квадратура круга / Я.И. Перельман. – Ленинград.:Печатный труд, 1941.

· Гельфонд, А.О. Трансцендентные и алгебраические числа / А.О. Гельфонд. –М.: Государственное издательство технико-технической литературы,1952.

· «Проблема квадратуры круга, т.е. проблема построения с помощью циркуля и линейки квадрата, площадь которого равна площади заданного круга, получила бы отрицательное решение в случае трансцендентности числа π, так как, … ,строить с помощью циркуля и линейки можно только корни некоторых классов алгебраических уравнений, коэффициенты которых целые числа.» А.О. Гельфонд. –М.: Государственное издательство технико-технической литературы,1952.

· Ильяс Ш.Г. Как брать корень квадратный с помощью циркуля и линейки?:сайт/youtube //Ильяс Шакенов URL : https://www.youtube.com/watch?v=Rr-hK6tQocc (дата обращения 14.04.2021).