Добавить в корзинуПозвонить
Найти в Дзене
Григорий Кравцов

ОГЭ 2021 Сумма квадратов равна нулю. №20

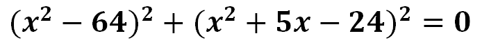
Как изначальное уравнение свести к более простому виду ?
Что такое равносильная замена ?
Многие при виде данного уравнения сразу же думают, что нужно раскрыть скобки , а потом уже приводить подобные слагаемые. Но ведь можно просто обратить внимание, что сумма двух квадратов равна нулю только в единственном случае: если оба квадрата равны нулю!
Равносильная замена сразу же экономит время решения,
  • Как изначальное уравнение свести к более простому виду ?
  • Что такое равносильная замена ?
-2

Многие при виде данного уравнения сразу же думают, что нужно раскрыть скобки , а потом уже приводить подобные слагаемые. Но ведь можно просто обратить внимание, что сумма двух квадратов равна нулю только в единственном случае: если оба квадрата равны нулю!

-3

Равносильная замена сразу же экономит время решения, т.к. не требуется раскрывать скобки. Данный подход значительно упрощает решение.

При решении системы нужно учесть что каждое уравнение имеет по два корня! Но в ответ мы должны записать только общие корни!

Смотрите подробное решение на видео.

Попробуйте самостоятельно решить другое уравнение

-4

Решение так же можно посмотреть на видео!

А как быть, если появился модуль?

-5

Рассуждения должны быть похожими.

Модуль - это неотрицательная величина. Квадратное выражение так же неотрицательно. Значит вместе они будут больше либо равны нулю, а их сумма равна нулю только тогда, когда они вместе будут нулями! Используем равносильный переход к системе уравнений.

-6

Ну а дальше уже не трудно ))

Подписывайтесь на ЮТУБ

Ставьте лайки и пишите комментарии, если есть вопросы)

ОГЭ 2021 №20 Система уравнений

ОГЭ 2021. №26 Площадь трапеции.

ОГЭ 2021. Геометрия №26. Площадь 4-х угольника

Насколько ты хорошо знаешь геометрию ? Головоломка №6. Треугольники внутри прямоугольника.

Как найти синус 75° без тригонометрии ?