Добавить в корзинуПозвонить
Найти в Дзене
Математика и физика

Основная теорема математического анализа простыми словами.

Основная теорема анализа или же теорема Ньютона - Лейбница несложно доказывается в любом курсе математического анализа, но часто ее доказательство теряется в куче страниц с доказательствами дополнительных лемм, и студент готовясь в последний вечер к экзамену не всегда должным образом понимает эту одну из самых важных теорем анализа.
Суммы Дарбу
Суть теоремы заключается в том, что она является

Основная теорема анализа или же теорема Ньютона - Лейбница несложно доказывается в любом курсе математического анализа, но часто ее доказательство теряется в куче страниц с доказательствами дополнительных лемм, и студент готовясь в последний вечер к экзамену не всегда должным образом понимает эту одну из самых важных теорем анализа.

Суммы Дарбу
Суммы Дарбу

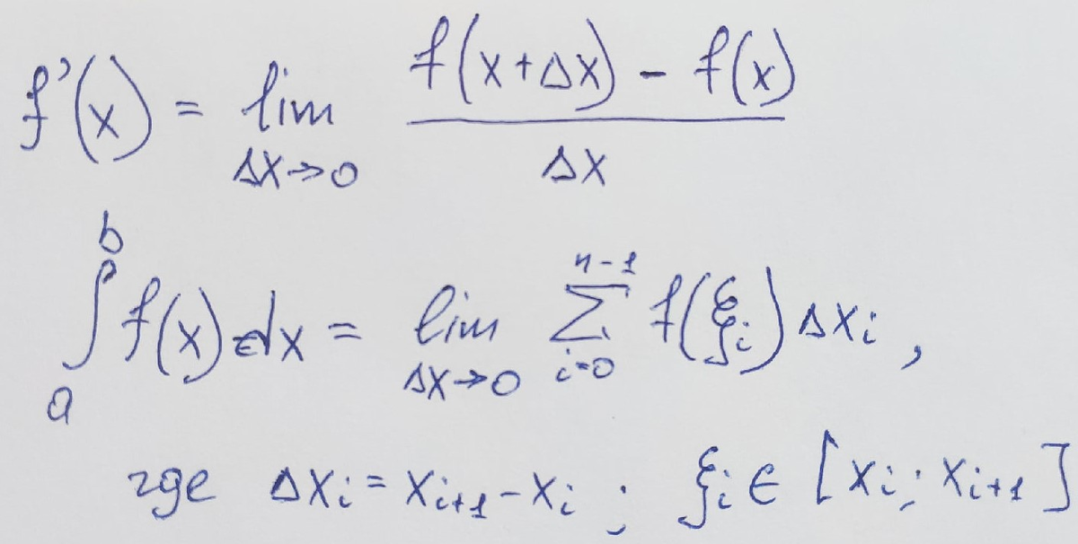
Суть теоремы заключается в том, что она является связующим мостом между понятием производной, определяемым как предел отношения приращения функции к приращению аргумента, и понятием определенного интеграла, который определяется через суммы Дарбу. Эти определения я полагаю вам знакомы:

Определение производной и определенного интеграла
Определение производной и определенного интеграла

Не будем формулировать теорему, а просто сделаем некоторые выкладки и посмотрим, что из этого получается.

Итак рассмотрим определенный интеграл с переменным верхним пределом как функцию, которая определяет площадь до координаты x.

-3
-4

Рассмотрим площадь между двумя точками x1 и x2:

-5

Тогда получим что площадь под кривой между двумя этими точками будет равна:

-6

Переходя к пределу получим:

-7

Из результата который мы получили в виде последней формулы, вытекают понятия неопределенного интеграла, в котором функция F называется первообразной, а также всем знакомая еще из школы формула для вычисления определенного интеграла - формула Ньютона - Лейбница:

-8

Подобные выкладки сложно назвать доказательством, это скорее показательство того в чем заключается суть этой простой, но крайне важной теоремы.