Найти в Дзене
Даниил Качанов

Нестандартное применение теоремы Виета

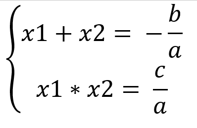
Теорема Виета всегда восхищала меня своей красотой. Самым популярным примером её использования является решение квадратного уравнения. Но на самом деле она имеет множество других применений. Для начала, давайте убедимся в простоте её доказательства для квадратного уравнения, а затем осознаем, что необязательно останавливаться на второй степени. Любое квадратное уравнение с двумя корнями представимо в виде: a ( x – x1 )( x – x2 ) = 0; где x1 и x2 корни уравнения. Раскроем скобки: a x^2 – a x1 x – a x2 x + a x1 x2 = 0 => ax^2 – a ( x1 + x2 ) x + ax1 x2 = 0 Отсюда справедливо, что для уравнения вида ax^2 + bx + c = 0 выполняется Но не будем на этом останавливаться и проделаем тоже самое для кубического уравнения: a(x – x1 )(x – x2 ) (x – x3 ) = 0 => a(x – x3 )( x^2 – (x1 + x2 )x + x1 x2) = 0 => a(x^3 – (x1 + x2 )x^2 + x1 x2 x – x3 x^2 + x3 (x1 + x2 )x - x1 x2 x3) = 0 => a(x^3 – (x1 + x2 + x3 )x^2 + (x1 x2 + x1 x3 + x2 x3 )x – x1 x2 x3 ) = 0 Тогда при ax^3 + bx^2 + cx + d
Оглавление

Теорема Виета всегда восхищала меня своей красотой. Самым популярным примером её использования является решение квадратного уравнения. Но на самом деле она имеет множество других применений. Для начала, давайте убедимся в простоте её доказательства для квадратного уравнения, а затем осознаем, что необязательно останавливаться на второй степени.

Любое квадратное уравнение с двумя корнями представимо в виде:

a ( x – x1 )( x – x2 ) = 0; где x1 и x2 корни уравнения. Раскроем скобки:

a x^2 – a x1 x – a x2 x + a x1 x2 = 0 => ax^2 – a ( x1 + x2 ) x + ax1 x2 = 0

Отсюда справедливо, что для уравнения вида ax^2 + bx + c = 0 выполняется

Но не будем на этом останавливаться и проделаем тоже самое для кубического уравнения:

a(x – x1 )(x – x2 ) (x – x3 ) = 0 => a(x – x3 )( x^2 – (x1 + x2 )x + x1 x2) = 0 => a(x^3 – (x1 + x2 )x^2 + x1 x2 x – x3 x^2 + x3 (x1 + x2 )x - x1 x2 x3) = 0 =>

a(x^3 – (x1 + x2 + x3 )x^2 + (x1 x2 + x1 x3 + x2 x3 )x – x1 x2 x3 ) = 0

Тогда при ax^3 + bx^2 + cx + d = 0 верно следующее:

-2

Заметим, что для применения теоремы Виета n -ной степени, нужно чтобы уравнение имело n корней(не обязательно различных).

Если вывод вызывает вопросы, или у вас осталось недопонимание, предлагаю вам ознакомиться со следующими видео

https://www.youtube.com/watch?v=6wUcOhBCFlw

https://www.youtube.com/watch?v=OEz63xGW92k

Далее будут разобраны задачи из олимпиад перечня РСОШ, дипломантам которых предоставляются льготы при поступлении в высшие учебные заведения. Будут использованы необычные и полезные методы для подготовки к ним.

Открытая олимпиады школьников ИТМО

Теорема Виета является красивым инструментом для решения задач. Продемонстрируем это, решив самую сложную задачу заключительного этапа Олимпиады ИТМО прошлого года. Это задание оценивалось наибольшим количеством баллов. Текст задачи следующий:

Положительные числа x, y, z таковы, что xyz = 20, x + y + z =9. Докажите, что xy + yz + xz > 24.

Вот решение, приведенное авторами:

Выразим xy + yz + xz через x. Для этого заметим, что y + z = 9 − x, а yz = 20 x , откуда xy + yz + xz − 24 = x(9 − x) + 20 x − 24 = (−x^3 + 9x^2 − 24x + 20)/ x = − (x − 2)^2 (x − 5)/ x . Это выражение при положительных x принимает отрицательные значения только если x > 5. То же самое можно заключить про остальные переменные. При этом все три переменные не могут быть больше 5, так как тогда их сумма слишком велика. Таким образом мы доказали, что если хотя бы одна из переменных лежит в промежутке от 0 до 5, сумма попарных произведений не меньше 24, а обратный случай невозможен. (На самом деле, можно убедиться, что все переменные лежат в промежутке от 0 до 5).

Несмотря на краткость, данное решение нельзя назвать универсальным и обладающим какой-то ценной информацией для абитуриента. Поэтому привожу более информативное и универсальное решение.

Подобный метод может использоваться в часто встречающихся задачах с конструкциями вида xy + yz + xz ; xyz и x + y + z .

Пусть а = xy + yz + xz , тогда нужно доказать, что a >= 24.

Запишем кубическое уравнение, с тремя корнями

t1 = x ; t2 = y ; t3 = z ;

тогда по теореме Виета уравнение имеет вид:

-3

t не равно нулю и положительно, т.к. xyz = 20, поэтому можно поделить

-4

Построим график, зная, что числа по условию задачи положительны т.е. t > 0:

-5

Вспомним, что a = const – это прямая параллельная или совпадающая с осью t , при этом наше уравнение должно иметь три решения (необязательно различных), поэтому разберем случаи:

1)исходное уравнение имеет 1 корень(три одинаковых корня) => исходное уравнение является полным кубом, что невозможно:

x + y + z = 9 => x = y = z = 3 => xyz = 27 не выполняется, так как xyz = 20 по условию задачи

2)Уравнение имеет два корня т.е. два одинаковых решения и одно несовпадающее с ними.=> прямая a = const должна иметь две точки пересечения с графиком:

-6

Подставим в функцию a ( t ) значения 2 и t 1 (это абсциссы указанных точек экстремума, мы получили их найдя корни производной) и найдем значения а, соответствующие данным прямым. Получим a = 24 и заметим, что вторая прямая выше=> В обоих случаях выполняется a ≥ 24.

3)Уравнение имеет три различных решения => указанная прямая a = const имеет три общие точки с графиком. Т.е. она заключена между прямыми на рисунке выше и a принадлежит (24; a ( t 1 )). Наглядно увидеть допустимые прямые можно здесь

https://www.desmos.com/calculator/o06orqlzz0

-7

Все значения из указанного промежутка удовлетворяют условию a ≥24.

Отсюда утверждение доказано для каждого случая и выполняется всегда.

Данное решение нельзя назвать оптимальным, но оно дает нам универсальную возможность оценить конструкции вида:

A = x + y + z

B = xy + yz + xz

C = xyz

Также приведенное решения использует исследование функции и преобразование выражений. Оба этих метода входят в школьную программу и регулярно встречаются в заданиях перечневых олимпиад и ЕГЭ под номерами 12 и 13. Также был использован графический метод координат, который эффективно используется в решении задач с параметром, в частности в задачах ОММО и 18ом задании второй части ЕГЭ.

Объединённая межвузовская математическая олимпиада

Предлагаю рассмотреть ещё одну задачу, на это раз на восьмой позиции из варианта одиннадцатого класса ОММО:

-8
-9

Это решение можно назвать красивым, но в нем требуется заметить небанальную замену. Например, при первом решении я её не увидел. Поэтому привожу альтернативный ход мыслей:

-10

Отсюда ( x + y + z )^2 = 169 => ( x^2 + y^2 + z^2 ) + 2( xy + yz + xz ) = 169;

Вычтем из данного выражения второе условие системы и поделим на два. Получим xy + yz + xz = 54. В тоже время преобразуем третье уравнение и получим xy + yz + xy = 3 yz ; =>54 = 3 yz => yz = 18 => xyz = 18 x ; В итоге получаем

-11

Отсюда по теореме Виета для кубического уравнения можем справедливо утверждать, что существует уравнение с тремя корнями x ; y ; z такое что:

-12

Исходное уравнение выполнялось при t = x (по теореме Виета x являлся его корнем)=> это равенство выполняется тоже:

-13

Рассмотрим два случая.

=> yz = 54 но yz = 18(см. на третье условие системы) =>противоречие и решений нет.

-15

x1 = 4

x2 = 9 не устраивает, так как при x = 9 из второго условия исходной системы задачи: 9^2 + y^2 + z^2 = 61 => y^2 + z^2 = 61 – 81 =>

y ^2 + z^2 = -20 =>решений нет, так как слагаемые слева неотрицательны.

Остается

-16

Снова ссылаясь на теорему Виета получаем квадратное уравнение с корнями y и z : b^2 – 9 b + 18 = 0; Подбираем корни 3 и 6, и зная, что система симметрична, получаем два ответа (4;3;6) и (4;6;3).

К преимуществам этого решения можно отнести красоту перехода с кубическим уравнением и минимальное количество вычислений. Все действия можно было без особого труда выполнить в уме. Так же мы использовали шаблонный метод перехода к кубическому уравнению с конструкциями из предыдущей задачи.

Олимпиада РосАтом

Приведём ещё один пример использования теоремы Виета при решении олимпиадных задач.

Задача из варианта олимпиады РосАтом одиннадцатого класса выглядит следующим образом:

Сколько существует пар натуральных чисел ( a , b ), у которых НОК( a , b ) = 23 * 32 * 5 * 72 = 17640, a НОД(а, b ) = 12?Среди всех таких пар указать ту, для которой a + b принимает минимально возможное значение и найти это значение(пары ( a , b ) и ( b , a ) считать одинаковыми)

Авторского решения у задачи нет, так как она взята из варианта текущего года, и оно ещё не опубликовано. Вот моя версия решения:

-17

Пусть a = 12 k ; b = 12 n ; где n и k положительные целые числа(оба числа кратны 12 так как их НОД 12), тогда n * k = 2 * 3 * 5 * 7^2 ;Каждой паре чисел ( n ; k ) соответствует пара ( a ; b )=> чтобы найти их переберём все делители 2 * 3 * 5 * 7^2 :

1470 = 2 * 735 = 3 * 490 = 5 * 294 = 6 * 245 = 7 * 210 = 10 * 147 = 15 * 98 = 21 * 70 = 35 * 42 = 14 * 105 = 1 * 1470 => 12 пар делителей и 12 пар ( a , b ).

12( n + k ) = a + b => минимальное значение суммы достигается при минимальном значении A = n + k

-18

A ≥ 14 * sqrt(30) > 76 => A ≥ 77 (так как А целое). Найдем пару решив систему :

-19

По теореме Виета t^2 - 77 t + 1470 = 0 имеет корни n и k =>

Зная все разложения на два делителя 1470(см. выше) легко подбираем корни 35 и 42 => ( a , b ) это (12 * 35, 42 * 12) или (420, 504).

Ответ: 12 пар, (420,504)(или (504,420)), 77.

Итоги

Подведём итоги. Было разобрано три задачи из вариантов разных олимпиад, были представлены оригинальные пути решения отличные от авторских. Задействованы методы полезные не только для заданий из перечневых олимпиад, но и для ЕГЭ.

Надеюсь, что приведённые разборы окажутся для кого-то полезными, и вы нашли для себя что-то интересное.