Добавить в корзинуПозвонить
Найти в Дзене
ОГЭ - это просто!

Порешаем ОГЭ? Выражение со степенями

Всем привет! Сегодня будем упрощать выражения. Это номер 20.
Упростить выражение
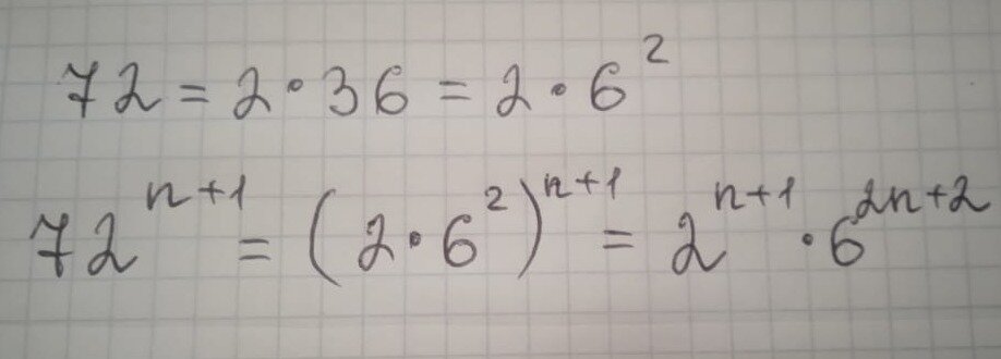
В этом выражении встречаются степени с основаниями 72, 2 и 6. Мы умеем работать со степенями с одинаковыми основаниями. Значит надо 72 представить в виде произведения, где будут множители 2 и 6.
при возведении в степень произведения каждый множитель надо возвести в эту степень. При возведении степени в степень

Всем привет! Сегодня будем упрощать выражения. Это номер 20.

Упростить выражение

В этом выражении встречаются степени с основаниями 72, 2 и 6. Мы умеем работать со степенями с одинаковыми основаниями. Значит надо 72 представить в виде произведения, где будут множители 2 и 6.

при возведении в степень произведения  каждый множитель надо возвести в эту степень. При возведении степени в степень показатели перемножаются.
при возведении в степень произведения каждый множитель надо возвести в эту степень. При возведении степени в степень показатели перемножаются.

Теперь вернемся к нашему выражению

Черта дроби означает деление. А при делении степеней показатели вычитаются
Черта дроби означает деление. А при делении степеней показатели вычитаются

Рассмотрим отдельно деление степеней с основаниями 2 и 6.

-4

Все. Упростили. Вполне решаемое задание. Согласны?

-5