Добавить в корзинуПозвонить
Найти в Дзене
Ксения Суркова

Разбор задания 13. ЕГЭ профильная математика.

Сегодня в статье разберем как решаются Иррациональные уравнения.
Экзамены не стоит бояться, для того, чтоб решить примеры второй части, необходимо просто состредоточится на задании и внимательно посмотреть пример.

Сегодня в статье разберем как решаются Иррациональные уравнения.

Экзамены не стоит бояться, для того, чтоб решить примеры второй части, необходимо просто состредоточится на задании и внимательно посмотреть пример.

Как правило, первые примеры второй части достаточно легкие, сейчас я покажу разбор одного из таких примеров, и вы сами все поймете, что ничего сверхъестественного делать не нужно!

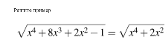
Итак, возьмем пример задания 13. "Иррациональный уравнения". На рисунке 1 представлено задание из сборника ЕГЭ по профильному уровню.

Рисунок 1. Пример иррацианального уравнения
Рисунок 1. Пример иррацианального уравнения

Для начала избавимся от корня, для этого необзодимо возвести обе части уравнения в квадрат, как представленно на рисунке ниже.

Рисунок 2. Возведение в квадрат
Рисунок 2. Возведение в квадрат

Следующим шагом будет перенос правой части уравнения в левую, при этом знак изменится на противоположный.

Например, если был - , то станет +
Если был + , то станет - .

На рисунке 3 показан перенос правой части, с изменением знака. При решении данного уравнения видно, что некоторые исходные данные теперь могут сократиться, что и сделано на рисунке 3.

Рисунок 3. Сокращение
Рисунок 3. Сокращение

Оставшиеся числа выписываем, после чего находим Х. На рисунке 4 предстаавлено решения по нахождению Х.

Для это необходимо возвести части в такойже корень, как и степень Х.

Рисунок 4. Находжение неизвестной
Рисунок 4. Находжение неизвестной

Полное решение данного уравнения представлено на рисунке 5.

Рисунок 5. Решение уравнения
Рисунок 5. Решение уравнения

Полезна ли вам статья? Ставь лайк и обязательно подпишись , чтобы не пропустить что-то важное! Продолжение данной темы следует :) В следующей статье узнаем как умножать числа на 12 по данному методу.

Ранее мы рассмматривали легие способы умножения. Чтоб просмотреть их, переходи ко мне на канал и читай статьи:

"Как легко считать и умножать числа в уме. Часть 2."

"как легко умножать в уме двухзначные числа. Часть 1."

"Как легко и быстро умножать большие числа. Система Трахтенберга. Часть 1."

"Как легко и быстро умножать большие числа. Система Трахтенберга. Часть 2."

Для закрепления можешь посмотреть по ссылке видео-разбор подобных уравнений.