Найти в Дзене
Техночтиво

Чему равен факториал отрицательного числа?

Ставьте, пожалуйста лайки, если публикация показалась Вам интересной...

Те кто следит за моим каналом, наверняка помнят, что о чем-то похожем, а точнее о факториале 1/2, я уже писал, но ту публикацию пришлось удалить из-за нарушения авторских прав на фотку учительницы с обложки публикации... и я об этом как-нибудь напишу. Но в этот раз хочу немного более подробно описать, почему факториал отрицательного числа имеет право на жизнь.

В школьном курсе черным по белому написано:

Факториал - функция, определенная на множестве неотрицательных целых чисел.

Казалось бы, что может быть проще? Но математикам XVIII века этого было мало и они полезли дальше...

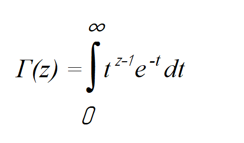
Так увидела света "Гамма-функция".

-2

Факториал связан с гамма-функцией. Если число z - натуральное число n, то:

-3

Но при чем здесь факториал отрицательного числа? Который в принципе существовать не может. А я уверен, что найдется уйма комментаторов, которые будут доказывать, что я, как минимум, сошел с ума.

Используя аналитическое продолжение гамма-функции, её область определения можно расширить на комплексную плоскость. Есть как минимум 3 определения: по Гаусу, по Вейерштрассу и по Эйлеру. По мне так, самое простое - по Гаусу, выглядит так:

где z принадлежит всем вещественным числам, кроме {0, -1, -2, -3...}
где z принадлежит всем вещественным числам, кроме {0, -1, -2, -3...}

Пользуясь данным определением можно находить факториал любого отрицательного не целого числа.

График функции будет выглядеть следующим образом:

https://upload.wikimedia.org/wikipedia/commons/thumb/7/73/Generalized_factorial_function.svg/1024px-Generalized_factorial_function.svg.png
https://upload.wikimedia.org/wikipedia/commons/thumb/7/73/Generalized_factorial_function.svg/1024px-Generalized_factorial_function.svg.png

Многие калькуляторы, кстати, умеют считать отрицательные факториалы. Стандартный Windows точно может.

-6

Проверяем отрицательные целые числа:

-7

Все условия определения аналитического обобщения факториала наш калькулятор выполняем исправно.

Что интересно, чем меньше отрицательное число, тем меньше значение его факториала. Возьмем, допустим, число -100,32.

-8

Можно подумать, что это все выдумки математиков, но, сама гамма-функция широко используется в мат анализе, атомной физике, статистике, теории вероятностей, сейсмологии, гидродинамике, астрофизике, комбинаторике.

Обращаю внимание для тех, кто собрался писать, что автор гонит пургу. Все эти определения придуманы не мной, я лишь ретранслирую в компактном формате, то что нашел и понял сам. Вся информация представлена для ознакомления и в реальной жизни вам 100% не пригодится, но от этого, она менее интересной не становится :)