Добавить в корзинуПозвонить
Найти в Дзене
Педагог онлайн

Олимпиады 🏆 по математике

☀ Добрый день, уважаемые коллеги!
На связи с Вами кафедра математики 📈 Академии репетиторов
и я, Татьяна Красюк.
Сегодня речь пойдет об олимпиадах 🏆 по математике.
Оглавление

☀ Добрый день, уважаемые коллеги!

На связи с Вами кафедра математики 📈 Академии репетиторов

и я, Татьяна Красюк.

Сегодня речь пойдет об олимпиадах 🏆 по математике.

✅ Теме олимпиад было посвящено одно из занятий кафедры. В статье Вы можете познакомиться с фрагментами этой встречи (в текстовом формате), дополненными некоторыми задачами из Олимпиады "Ломоносов".

Фрагменты работы кафедры математики. Подготовка к олимпиадам

Какие бывают олимпиады по математике?

  • Всероссийские олимпиады: школьный
    и региональный этапы, финал
  • Олимпиады вузов
  • Олимпиады профильных школ
  • Различные онлайн-олимпиады

Олимпиады можно классифицировать по возрастам их участников:

  • 6-7 класс Москва: Математический праздник и Турнир Архимеда
  • 8 класс Москва: Московская математическая олимпиада
  • 8 класс: Олимпиада им. Леонарда Эйлера: дистанционный, региональный и заключительный этапы
  • 9-11 класс: Всероссийская олимпиада школьников
    — Во Всероссийской олимпиаде по математике участвуют школьники 4–11 классов. При этом для 4–6 классов в настоящее время проводится только школьный этап, а для 7 и 8 классов — только школьный и муниципальный этапы.

Зачем нужны олимпиады школьникам?

  • Для поступления в топ вузы
  • Для самоутверждения
  • Для оценки
  • В школе просят/заставляют
  • Для тренировки
  • Уметь находить нестандартные методы, развитие творческих способностей
  • Интересно

Самый правильный путь в лучшие вузы лежит через олимпиады.

Абитуриентам ведущих вузов (МФТИ, ВШЭ, МГУ, МГТУ им. Баумана, МИФИ и т.д.) необходимо принимать участие:

  • во Всероссийской олимпиаде школьников по математике и физике (как минимум в школьном и муниципальном этапах, крайне желательно пройти на региональный этап и стать там призёром,
    еще лучше — набрать на региональном этапе федеральный проходной балл и выйти на заключительный этап);
  • в олимпиадах РСОШ (также называемых перечневыми), которые входят в ежегодный Перечень РСОШ (Российского совета олимпиад школьников).

Имея диплом перечневой олимпиады или «Всеросса», школьник обеспечит себе существенные льготы при поступлении в вуз и получит серьёзное конкурентное преимущество перед другими абитуриентами.

Каждая олимпиада имеет определенный уровень: первый, второй или третий. Уровни олимпиад фиксируются в Перечне.

Чем выше уровень олимпиады, тем более весомые льготы имеют её победители и призёры.

Льготы, предоставляемые вузами, бывают трёх видов:

  • БВИ («без вступительных испытаний») — внеконкурсное зачисление отдельным приказом, выходящим до приказов о зачислении по конкурсу в первую и вторую волну
  • засчитывание 100 баллов за ДВИ (дополнительное вступительное испытание — в МГУ, например);
  • засчитывание 100 баллов по предмету вместо результата ЕГЭ.
Важно начинать подготовку к перечневым олимпиадам и участвовать в них как можно раньше. Минимальное время для надежного результата (быть призером), на мой взгляд, составляет два года целенаправленной подготовке к конкретной олимпиаде.

Зачем нужны олимпиады школьников педагогам

  • Для мотивации сильных учеников
  • Для самоутверждения
  • Для аттестации
  • Для тренировки школьников
  • Для саморазвития
  • Интересно

Специфика подготовки школьников к олимпиадам, преемственность задач, общие подходы к решению

  • В профильных школах/классах выделяют курсы/часы на подготовку к олимпиадам. Или на решение типовых олимпиадных задач
  • Среди олимпиадных задач примерно половина (или меньше) являются знакомыми, но при этом более сложными, с элементами смекалки, необходимостью найти необычный путь решения:

— некоторые типы текстовых задач
(на движение, на смеси, на прогрессии)

— уравнения, неравенства и системы

— задания на преобразования и доказательство тождеств

  • Среди олимпиадных задач примерно половина (или больше) являются незнакомыми и нестандартными:

— некоторые типы текстовых задач (на взвешивания, на переливы)

— задачи на числа

— задачи на множества

— некоторые типы логических задач

— задачи на шахматной доске и раскрашивания

— задачи на построение и разрезания

— точки и линии на плоскости

Именно эта нестандартная половина и требует специальной подготовки. Нереально даже самому сильному школьнику решить такую задачу, да еще за ограниченное время, если он видит ее впервые.

Мой опыт подготовки к олимпиадам

Когда я сама училась в школе, мы к олимпиадам специально не готовились. Или я не знала о том, что это делают другие. Моего уровня хватало на призы Московских районных олимпиад, пока я училась в обычной школе. После перехода в физико-математическую школу (ныне «Лицей 2 школа), мне удавалось становиться призером Московских городских олимпиад, один раз сумела попасть на дополнительный тур — отбор на всесоюзную олимпиаду. Правда, у нас шутили: москвичам легче выиграть Всесоюзную олимпиаду, чем на нее попасть.

Сейчас я понимаю, что если бы я готовилась именно к олимпиадам, то результаты были бы значительно выше.

В то время была одна Всесоюзная олимпиада по математике, и только ее победители получали льготы при поступлении. Я об этом не задумывалась, просто готовилась к вступительным экзаменам. А результаты олимпиад имели чисто моральное значение в жизни школьников.

Сейчас всё изменилось. Олимпиада может стать золотым ключиком от двери заветного вуза. Причем олимпиад таких достаточно много, можно выбирать, в том числе по типам задач.

Когда я начала проводить онлайн занятия со школьниками, моя первая группа (именно группа) состояла из школьников 2 (потом 3 класса) на семейном обучении. В расписание занятий меня попросили один раз в неделю поставить решение олимпиадных задач. Ребята были разного уровня подготовки и мотивации, но решение олимпиадных задач нравилось всем.

Вот такое сообщение прилетело мне через некоторое время:

Главное, что олимпиадная подготовка становится всё более востребованной, начиная уже с младшей школы.

В настоящее время очень много запросов на сайтах типа «профи.ру» и в дистанционных школах типа Фоксфорда именно на олимпиадную подготовку. Причем это мотивированные ученики и родители, готовые платить больше.

У меня сейчас с увлечением второй год занимается девочка (7 класс), причем и математикой, и физикой. В этом году получила первые результаты на олимпиадах. Решаем с ней задачи на год-два старше. Мне с ней тоже очень интересно. Есть также 9-тиклассник, правда с ним мы занимаемся только физикой. Это совсем другие дети. Они не отлынивают, не переносят занятия. С ними нет проблем, только положительные эмоции.

Что касается старшеклассников, то здесь идет настрой на олимпиады топ-вузов. В прошлом году готовила к олимпиаде Физтеха, ученик стал призером и потом ему надо было на ЕГЭ набрать 75 баллов, но он набрал 88, поступил с запасом.

В этом году у меня была олимпиада «Ломоносов». Ученик вышел в заключительный этап, ждем результатов.

Выводы

  • Задачи (типы задач) повторяются из класса в класс, надо заниматься этими задачами отдельно и целенаправленно. Надо начинать рано.
  • Некоторые типы задач переходят в ЕГЭ (например задание 19 профиля)
  • Исследование одного из типов задач может быть темой школьного проекта
  • Задачи олимпиад развивают логическое, системное, образное мышление, настойчивость

Разбор интересных задач

— не все задачи доведены до ответа, предлагаю читателям сделать это самостоятельно.

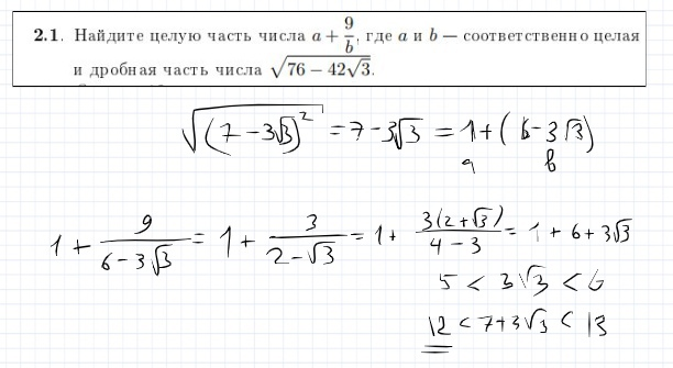
Задачи на числа

-2
-3
-4

Системы уравнений

_____________________________________________________________________________________________________________
_____________________________________________________________________________________________________________
_____________________________________________________________________________________________________________
_____________________________________________________________________________________________________________
-7

Задания с параметрами

-8
_____________________________________________________________________________________________________________
_____________________________________________________________________________________________________________
-10
-11

Преобразования

-12
-13

Логарифмическое неравенство

-14

Планиметрия

-15
-16

Оптимизация плюс геометрия

-17
-18

Резюме. Почему нужно готовить школьников к олимпиадам?

  • Подготовка к олимпиадам — это глубокое изучение математики плюс постоянная практика решения сложных и нестандартных задач.
  • Такая деятельность развивает интеллект и создает хорошую базу для дальнейшей учебы в вузе.

Появились вопросы или пожелания? Пишите нам.