Добавить в корзинуПозвонить
Найти в Дзене

Задача 12. Экстремумы, промежутки возрастания и убывания - это просто.

Приветствую!
Здесь разберем задачу из первой части ЕГЭ. Задача 12, в которой обычно просят найти точку максимума/минимума, или наименьшее/наибольшее значение. Мы постараемся разобрать каждый тип задач.
Перед тем как решать, убедитесь что вы достаточно хорошо понимаете, что такое производная и для чего она нужна.
Сначала немного теории:

Приветствую!

Здесь разберем задачу из первой части ЕГЭ. Задача 12, в которой обычно просят найти точку максимума/минимума, или наименьшее/наибольшее значение. Мы постараемся разобрать каждый тип задач.

Перед тем как решать, убедитесь что вы достаточно хорошо понимаете, что такое производная и для чего она нужна.

Сначала немного теории:

Точка максимума/минимума - это значение x. Если вас просят найти такую точку - не нужно подставлять значение x в функцию и искать значение функции.

Если вас просят найти наибольшее/наименьшее значение функции, то тут вам уже придется подставлять что-то в функцию, а вот что - зависит от задачи.

Начнем с простого(или не очень): исследование функции БЕЗ помощи производной.

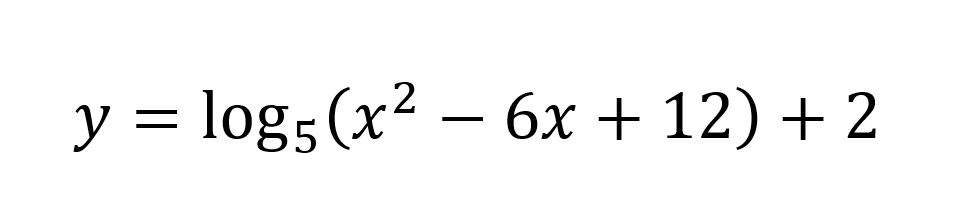
У нас есть вот такой пример:

Нужно найти точку минимума

Логарифмическая функция возрастает на всей области определения. Логарифмируемое выражение - квадратный трехчлен. А где у нас наименьшее значение квадратного трехчлена? Коэффициент а - положительный, значит точка минимума будет вершиной. Как найти вершину? Можно найти производную, а можно вспомнить формулу из 8 класса? X(вершины) = -b/2a. X = 6/2=3. Значит 3 -точка минимума. На всякий случай подставим значение в функцию и проверим, определена ли она.

А теперь попробуйте сами найти наименьшее значение.

Пример с производной, найти точку максимума функции.

-2

Найдем производную:

-3

Приравняем к нулю и найдем критические точки.

-4

Определяем знаки производной и поведение функции (Напоминание: производная положительна - значит функция возрастает. Производная отрицательна - функция убывает)

Чтобы найти знак производной нужно подставить любую точку из интервала В ПРОИЗВОДНУЮ, если выражение больше нуля, то производная положительна (логично) и наоборот.

-5

На интервале от минус бесконечности до -4 ф-я возрастает, на интервале от -4 до 4 убывает. Если возрастание сменилось убыванием, то в этой точке максимум, если убывание сменилось возрастанием - минимум.

Точка максимума: -4.

Попробуйте самостоятельно найти: точку минимума, наибольшее и наименьшее значение функции.

Еще пример: Найти НАИМЕНЬШЕЕ значение функции на отрезке.

-6

Найдем производную этой функции:

-7

Здесь нужно воспользоваться формулой производной от частного.

Нетрудно догадаться, что производная равна нулю в точках 5 и -5, в точке 0 она не существует, но нам это не интересно, т.к. эта точка не входит в наш интервал [1;10].

Определяем знаки производной и поведение функции:

-8

Точка x=-5. Ответ: -5.

Это еще не ответ, нас просят найти НАИМЕНЬШЕЕ значение функции. Значит точку 5 нужно подставить в функцию.

Y(5) = (25+25)/5 = 10.

Ответ: 10.

Небольшое лирическое отступление: для чего нам нужен этот интервал? Интервал нужен, т.к. наименьшее значение может существовать где-то там, далеко на промежутке слева. Функция возрастает на [-∞;-5], там может найтись значение, которое меньше, чем 10, но определить его нельзя.

Еще один интересный пример:

Найти наибольшее значение функции y=x*x, на интервале [5;10].

Здесь все очень просто. Функция имеет минимум в точке (0;0) (вершина параболы), на промежутки от нуля до бесконечности она возрастает, значит наибольшее значение будет на правом конце интервала. Подставляем точку 10 в функция и получаем у(10) = 100. Готово!

На реально ЕГЭ, конечно, таких заданий не будет, но для тренировки сойдет. Попробуйте сами найти наименьшее значение функции y=2x*x, на отрезке [-5;-2].

Еще пример:

Найти точку максимума

-9

Великое и ужасное число е. Или, как его ошибочно называют ученики - экспонента. Напоминаем, экспонента - это ф.-я y=e^x.

Глаза боятся, руки делают, ищем производную:

-10

Правая часть равна нулю только тогда, когда 8-х = 0. Значит нулевой точкой будет x = 8.

Подставляю точку в производную, ищем знаки.

-11

Точка 8 - точка максимума функции.

Попробуйте сами найти для этой функции: наибольшее значение, наименьшее значение на промежутке [9;20].

На этом все, решения будут в следующей статье!