Найти в Дзене
Валерий Тимин

1.Об эффективности использования математики в физике

Пишу специально для своих оппонентов в Дзен, умаляющих и/или даже отрицающих роль математики в физике. Не претендуя на истину в последней инстанции.
Е.Вигнер свою статью "НЕПОСТИЖИМАЯ ЭФФЕКТИВНОСТЬ МАТЕМАТИКИ В ЕСТЕСТВЕННЫХ НАУКАХ" ( ссылка здесь ) начал с этого абзаца:
"Рассказывают историю о двух бывших однокурсниках, обсуждавших свою деятельность. Один занимается статистикой и обрабатывает
Оглавление

Начало. Другие ст. см. здесь:

1) (эта статья) Об эффективности использования математики в физике
2)
Вывод формул Лоренца преобразования координат физического пространства
3)
Эфиродинамика. Выводим преобразования Тангерлини
4) В
ыводим преобразования Евклидова пространства

Пишу специально для своих оппонентов в Дзен, умаляющих и/или даже отрицающих роль математики в физике. Не претендуя на истину в последней инстанции.

Е.Вигнер свою статью "НЕПОСТИЖИМАЯ ЭФФЕКТИВНОСТЬ МАТЕМАТИКИ В ЕСТЕСТВЕННЫХ НАУКАХ" ( ссылка здесь ) начал с этого абзаца:

"Рассказывают историю о двух бывших однокурсниках, обсуждавших свою деятельность. Один занимается статистикой и обрабатывает данные о населении. Он показывает приятелю оттиск своей работы, которая начинается, как водится, с гауссова распределения. Статистик поясняет, какие символы обозначают наблюдаемые величины, какие —средние и т. д. Но его другу, который был отчасти скептиком, показалось, что его разыгрывают. «Как ты только все это выучил? — спросил он статистика. — Кстати, что это такое?» —«Ах, это? —отвечал статистик. — Это л».—«А что это значит?»—«Это отношение длины окружности к ее диаметру».—«Ну, знаешь, брось эти шутки,— ответил скептик, — к чему-к чему, но к окружности данные о населении не имеют никакого отношения»".

https://images.slideplayer.com/16/5138580/slides/slide_34.jpg
https://images.slideplayer.com/16/5138580/slides/slide_34.jpg

Действительно, какое отношение число p может иметь к физике и статистике? К физике – разве что при движении по окружности. А к статистике? А вот, оказывается, имеет.

Элементарнейший вопрос: а какое отношение имеют вообще числа к физике? Многие вообще уверены, что только на кухне можно изучать законы физики, а математики только запутывают свободную мысль человека о Природе абстрактными понятиями и только зря получают деньги.

Но ведь мы в жизни постоянно пользуемся числами для счета. Е.Вигнер пишет: " С одной стороны, невероятная эффективность математики в естественных науках есть нечто граничащее с мистикой, ибо никакого рационального объяснения этому факту нет". Возможно, действительно нет. И, одновременно, она есть. И она – в практике использования методов и понятий математики, в частности – геометрии, в нашей повседневной жизни. Например – счет. Считают все – вы сами можете привести десятки, сотни примеров. Считают деньги – их наличие и отсутствие, считают покупки в магазинах, считают шаги, сделанные на прогулке. Ваша зарплата, налоги, расходы. И математика в этом деле оказывается очень эффективной, точной и нужной. И это – только счет.

Е.Вигнер приводит много примеров более целевого использования методов математики для объяснения законов физики. Это и изучение падения предметов в гравитационном поле Земли Галилеем, законы Ньютона, в т.ч. три закона Ньютона и закон всемирного тяготения, и эпициклы движения планет на небе, с помощью которых описывали движение планет на небе во все времена, пока не нашли более т очное описание для этого. Последний пример особенно примечателен – математика может описывать и правильные, и неправильные теории физики и других наук. Разница между ними в математическом отношении только в том, с какой точностью она описывает эти законы.

Математика – это числа, формулы, уравнения. Математик может придумать самые различные теории, даже противоречащие друг другу. Например, геометрия Евклида и геометрия Лобачевского. В евклидовой через точку можно провести только одну параллельную линию к другой, а в Лобачевского – таких прямых может быть много.

У физика задача сложнее. Он должен выбрать единственное описание зависимостей соответствующего физического закона, которое соответствует экспериментальным данным. И здесь тоже математика может помочь. В нулевом приближении все законы физики должны давать один и тот же закон. В первом приближении все законы физики должны быть линейны. И т.д. Это – первые предположения физика. Но математика не дает единственного и окончательного решения. Математика может дать множество путей для выбора конкретной физической теории. И дело физика – выбрать из них правильное. Относительно правильное для текущего объема экспериментальных данных. Далее эта теория может быть уточнена или принципиально изменена.

Выбор описания физического пространства-времени с т.з. математики

Рассмотрим с т.з. математики, какими могут быть физические пространство и время и его свойства с т.з. классической не квантовой физики.

С т.з. кухни мы все знаем, или считаем, что знаем, что такое пространство и время . Мы это знаем с т.з. практического знания. Т.е. знаем, что пространство – это то, что окружает нас. Мы в ней можем пойти вперед и назад, влево и вправо. Можем подпрыгнуть и присесть. Эти наши потенциальные возможности говорят о том, что нас окружает 3-мерное пространство. Также со школы мы знаем, что это наше пространство математически очень хорошо описывается геометрией Евклида. С т.з. этой геометрии она состоит из точек, прямых и плоскостей, в совокупности составляющих 3-мерное пространство, в котором справедливы аксиомы Евклида. И это хорошо подтверждается практическими измерениями расстояний и углов. А также наличием параллельных и перпендикулярных прямых. С т.з. современной математики, такое пространство можно описать через декартовы ортонормированные координаты.

Еще есть время – предмет спором множества поколений мыслителей всех эпох и времен, философов, физиков и не физиков, ученых и не ученых. Простых обывателей на кухне. А с т.з. математики, точнее, той же геометрии, это всего лишь одномерное евклидово пространство, состоящее всего лишь из одной прямой. Но какой! И совместно с пространством она дает нам свободу передвижения в пространстве, в конце концов – жизнь и свободу. В ней мы живем, дышим, думаем, движемся.

При совместном использовании пространства и времени

возникает вопрос: а можно ли их объединить? Хотя вопрос риторический: реальность в лице Вселенной их уже объединила. Хотя мы этого и не замечаем, потому что мы в каждый момент времени видим только три пространственных измерения. Но у нас есть память. И она говорит о том, что в нас одновременно существуют и прошлое, и настоящее. И даже наше будущее – наши желания, мечты, фантазии. А в математической абстракции это выливается в четырехмерность нашего Вселенной.

На самом деле физики уже давно пользуются этой четырехмерностью в своих формулах и уравнениях, выражающих законы Природы. Для примера – простейший пример – уравнения (траектория) движения объекта в пространстве и времени:

d(x, y, z)(t) = (Vx(t), Vy(t), Vz(t))*dt. (1)

Это простейшее уравнение физики – но она фундаментальна. Именно этим уравнением задается движение любого материального объекта, потому что все состоит из материи. Правда, учеными до конца так и не понято, что это за штука – материя? Это вопрос для философов – а для физики достаточно иметь возможность описать его в законах физики и пользоваться им. Например, в этой самой формуле закон формулируется для абстрактной дискретной материальной точки. В геометрии для этого случая есть как раз подходящие объекты – точка, отрезок, плоская фигура и объемный объект. В физике к ним прибавляется свойство "материальный". Если таких объектов много и они в пространстве расположены достаточно плотно, то физики для них определили понятия "плотность" и "поле" – как количества материи, ее импульса и энергии в единице объема пространства во времени, и объединяющего параметра "масса ". Кстати, "масса" – еще один объект, имеющий "евклидовы" свойства. Она заключается в том, что масса многокомпонентного объекта складывается из масс отдельных объектов, как длина "отрезка" складывается из составляющих ее отдельных меньших отрезков, а "время" – из отдельных промежутков времени.

Некоторые могут спросить – а зачем все это нужно? На кухне не нужно. Но знать полезно. Физик, способный абстрагироваться от конкретного, может догадаться о математической абстракции, которая позволит ему интерпретировать физически найденные им экспериментально законы. А математика может описать любые экспериментальные данные – она нейтральна к объектам своего применения. И поэтому обвинять математику в чем то бессмысленно.

В этом же уравнении имеется еще один очень абстрактный математический объект – дифференциал . Она позволяет абстрагироваться от средних значений физических параметров (например, скорости) и пользоваться их локальными, мгновенными значениями. Эта абстракция оказалась очень полезной для физики. Она позволила записать второй закон Ньютона для конкретного времени через силу и ускорение:

F = m * dV / dt . (2)

Свойства пространства-времени

В этом уравнении встречаются все 4 координаты – три пространственных и одна временная. И перед физиками встает дополнительная задача – есть ли связь всех этих четырех измерений, кроме как в этом уравнении? Для случаев отдельно пространства, времени, материи мы уже определились. А в общем объединении как? Тем более физика и философия уже давно проповедуют единство пространства, времени и материи, и свойства одного из них являются проявлениями других, и друг без друга они не могут существовать. Вопреки распространенному мнению, что их "независимость" очевидна.

Для выявления этих свойств можно воспользоваться алгеброй, в частности, линейной и/или векторной алгеброй. Во первых они очень хорошо вписываются в евклидово пространство. С его точками, прямыми, параллельными и перпендикулярами. Во вторых, для них очень хорошо разработаны математические методы изучения и использования в прикладных целях.

Так какие же физические свойства должны быть описаны математически? А они даются основополагающими физическими принципами. В общем объеме это однородность и изотропность пространства и принципы относительности – галилеевы и релятивистские. Однородность и изотропность говорят о том, что все точки пространства и направления в ней одинаковы и все законы в них описываются одинаково. Принципы относительности говорят о том, что законы физики также не зависят от состояния движения материальной системы, что означает существование ИСО. Математические линейные векторные пространства обладают всеми этими свойствами. Поэтому именно их используют практически во всех физических теориях. Но только для объединения пространства и времени. Есть исключение – это ОТО А.Эйнштейна, в которой объединяется все три физические сущности – материя, пространство и время. Но и она очень хорошо описывается расширением линейной алгебры на криволинейное пространство-время в рамках римановой геометрии и тензорного исчисления.

Возможные математические пространства

Математически в возможны следующие пространства: евклидово, галилеево, релятивистское и "псевдогалилеево" (определение мое). Про евклидово пространство мы все знаем – она вокруг нас, галилеево пространство используется в классической механике и его мы все изучали в школьной физике – она тоже вокруг нас, но она содержит еще и "время" как своя неотъемлемая составляющая, релятивистское пространство использовал А.Эйнштейн для формулирования специальной теории относительности, а " псевдогалилеево" пространство используют некоторые альтернативные физические "теории светоносного эфира" на основе всепроникающего "эфира".

Я не буду выделять из них одно как абсолютно верное. Тем более, в физике такого быть не может. Любая теория не верна в том смысле, что она всегда ограничена областью применения. Что верно, показывает эксперимент, опыт. И только они являются арбитрами в этом вопросе. Но все эти пространства объединяет одна математическая дисциплина – линейная и/или векторная алгебра, а разделяют их соответствующие им ортонормированные преобразования координат, и у каждого из них имеется своя физическая интерпретация.

Рассмотрим их.

Преобразования координат линейного пространства

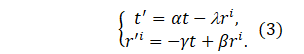
Альтернативой евклидовым и галилеевым преобразованиям координат "время" и "расстояние" являются общие линейные преобразования координат ПВ:

-2

Зависимость α, β, γ и λ предполагаются от направления осей координат (в физике - скорости v новой системы отсчета): α(v), β(v), λ(v) и γ(v). В физических приложениях размерность параметра λ здесь выражается в единицах, обратных скорости – в [с/м] (секунды на метр), γ – в единице скорости – [м/с], параметр α и β безразмерны.

Преобразования (3 ) в представленном виде не несут какой-либо полезной информации о ПВ и его свойствах: это – просто набор возможных линейных преобразований координат без какого-либо полезного физического смысла. Для придания смысла необходимо определить ее материальный физический или абстрактный геометрический смысл или интерпретацию. Этот смысл кроется в ее физических/геометрических понятиях времени и расстояний[1] . Будем считать, что Время – это то, что отсчитывают наши часы, покоящиеся в нашей ИСО. А расстояния – это то, что мы можем измерить с помощью наших линеек, прикладывая ее между двумя точками в одно и то же время. Измерения производятся с помощью эталонных приборов. И два одинаковых эталона равны друг другу везде и всегда, независимо от того, как они попали в место их сравнения. В противном случае нельзя сказать, что Природа познаваема и эксперименты повторимы. Это верно как для однородного и изотропного пространства, так и неоднородного, не изотропного и искривленного в т.ч.

Ортонормированные преобразования координат

Среди всех преобразований имеется группа ортонормированных преобразований координат. В таком случае уравнения преобразования координат общего типа пространств (3 ) первая строка будет определять условие синхронизации часов в новой системе координат и относительную скорость ее хода, определяя этим слой одновременности, а вторая – перемещение начала координат во времени и ее новую разметку, через которую определяются расстояния. Естественно, от значения скорости ИСО. При этом подпространство t (или t ') = const для каждой из ИСО будет подпространством одновременных событий. И именно на этой поверхности будет происходить синхронизация часов каждой конкретной ИСО. Это важное замечание. А это все означает, что

Для (3 ) это означает выполнение некоторых условий. Из линейной алгебры известно, что параметры группы общих ортонормированных преобразований координат пространств (3 ) обладают следующими свойствами:

αβ - γλ = 1. (4)

Это уравнение говорит о том, что определитель матрицы преобразований координат должен быть равен единице. Дополнительные свойства относятся к строкам и столбцам матрицы преобразований.

Продолжение здесь:
1)(эта статья)
Об эффективности использования математики в физике
2)
Вывод формул Лоренца преобразования координат физического пространства
3)
Эфиродинамика. Выводим преобразования Тангерлини
4) В
ыводим преобразования Евклидова пространства