Добавить в корзинуПозвонить
Найти в Дзене
Григорий Кравцов

ЕГЭ 2021 №13 Сумма шестых степеней синуса и косинуса

Сложное тригонометрическое уравнение осмелится решить далеко не каждый. Особенно, когда встречаются сложные формулы и нестандартные формулировки. С чего же начать ? (короткий тизер)
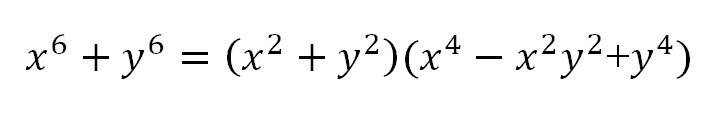
Естественно стоит обратить внимание на шестые степени. Можно было бы воспользоваться формулой:
Но эту формулу мало кто знает. Более полезно будет вывести её самостоятельно! Для этого нужно вспомнить формулу суммы

Сложное тригонометрическое уравнение осмелится решить далеко не каждый. Особенно, когда встречаются сложные формулы и нестандартные формулировки. С чего же начать ? (короткий тизер)

Естественно стоит обратить внимание на шестые степени. Можно было бы воспользоваться формулой:

-2

Но эту формулу мало кто знает. Более полезно будет вывести её самостоятельно! Для этого нужно вспомнить формулу суммы кубов

-3

Эту формулу можно применить для вывода верхней формулы суммы шестых степеней

-4

Теперь мы знаем формулу для суммы шестых степеней и можем применить её к тригонометрическому уравнению.

Далее рекомендую решить самостоятельно.

Для подготовки к профильному ЕГЭ необходимо будет так же выполнить отбор корней для данного уравнения. Подробное решение с отбором корней смотрите на видео:

Подписывайтесь и ставьте лайки )