Добавить в корзинуПозвонить
Найти в Дзене
Григорий Кравцов

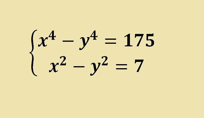
ОГЭ 2021 №20 Система уравнений

Здравствуйте. Пришло время готовиться к ОГЭ по математике. Решим сегодня задание из второй части экзамена.
Модуль алгебра №20 Система уравнений.
Т.к. четыре - это старшая степень в первом уравнении системы, то данная система может иметь до 4-х ответов! Следует это учесть при решении!
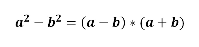
Первое, что хочется отметить - это формула разность квадратов!

Здравствуйте. Пришло время готовиться к ОГЭ по математике. Решим сегодня задание из второй части экзамена.
Модуль алгебра №20 Система уравнений.
Т.к. четыре - это старшая степень в первом уравнении системы, то данная система может иметь до 4-х ответов! Следует это учесть при решении!

Первое, что хочется отметить - это формула разность квадратов!

-2

Данную формулу можно применить и для высших степеней! В этом и заключается идея решения системы. Икс в четвертой степени легко преобразуется (x^2)^2, аналогично (y^2)^2.

-3

Дальнейшее решение сводится к методу подстановки и методу сложения.

-4
-5

На этом подсказки заканчиваются!

Смотрите видео с подробным разбором

Самое главное - это запись ответа для данной системы. Придется найденные корни чередовать с разными знаками, чтобы получилось четыре различных ответа!

Подписывайтесь и делитесь с друзьями!