Добавить в корзинуПозвонить
Найти в Дзене
Онлайн поневоле

Как эксперты ОГЭ проверяют номер 21

Номер 21 ОГЭ - это текстовая задача. Критерии оценивания: Если задача была сведена к составлению дробно-рационального уравнения, то: 1. Нет обоснования получения уравнения? = 0 баллов 2. Две или больше вычислительных ошибки? = 0 баллов 3. Любая математическая ошибка? = 0 баллов 4. Нет ОДЗ? минус 1 балл Нет единиц (хотя бы в одном месте решения)? минус 1 балл Нет указания, что отрицательный ответ не подходит? минус 1 балл По пункту 3 минусовые баллы не складываются. Можно не написать ОДЗ у уравнения, нигде не указать единицы измерения и не написать, почему выбран положительный ответ, но это всё равно минус 1 балл Примеры работ (источник - Интернет) ===== А здесь я писала о том, как эксперты ОГЭ проверяют номер 22 и как эксперты проверяют номер 20

Номер 21 ОГЭ - это текстовая задача.

Критерии оценивания:

Если задача была сведена к составлению дробно-рационального уравнения, то:

1. Нет обоснования получения уравнения? = 0 баллов

2. Две или больше вычислительных ошибки? = 0 баллов

3. Любая математическая ошибка? = 0 баллов

4. Нет ОДЗ? минус 1 балл

Нет единиц (хотя бы в одном месте решения)? минус 1 балл

Нет указания, что отрицательный ответ не подходит? минус 1 балл

По пункту 3 минусовые баллы не складываются. Можно не написать ОДЗ у уравнения, нигде не указать единицы измерения и не написать, почему выбран положительный ответ, но это всё равно минус 1 балл

Примеры работ (источник - Интернет)

2 балла
2 балла

0 баллов. Уравнение не обосновано
0 баллов. Уравнение не обосновано
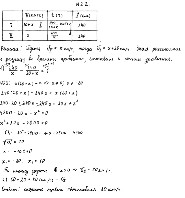
1 балл. Нет ОДЗ
1 балл. Нет ОДЗ
0 баллов. Нет решения квадратного уравнения
0 баллов. Нет решения квадратного уравнения
Известная задача про Игоря, Пашу и Володю, которые красят забор. 0 баллов. Математическая ошибка
Известная задача про Игоря, Пашу и Володю, которые красят забор. 0 баллов. Математическая ошибка

2 балла
2 балла
0 баллов. Нет ОДЗ. 19600 не может быть квадратом числа 410. Математическая ошибка
0 баллов. Нет ОДЗ. 19600 не может быть квадратом числа 410. Математическая ошибка
1 балл. Нет наименований единиц, не показано, почему в ответе нет числа -18
1 балл. Нет наименований единиц, не показано, почему в ответе нет числа -18

0 баллов. Не решена система уравнений
0 баллов. Не решена система уравнений

=====

А здесь я писала о том, как эксперты ОГЭ проверяют номер 22 и как эксперты проверяют номер 20