Найти в Дзене
Alex W

Как решить такое иррациональное уравнение?

x^2 - 5 + sqrt(x + 5)
Решаем иррациональное уравнение
Оглавление

Приветствую всех читателей этого блога!

Продолжаем работу после длительного перерыва!

Давайте решим уравнение!

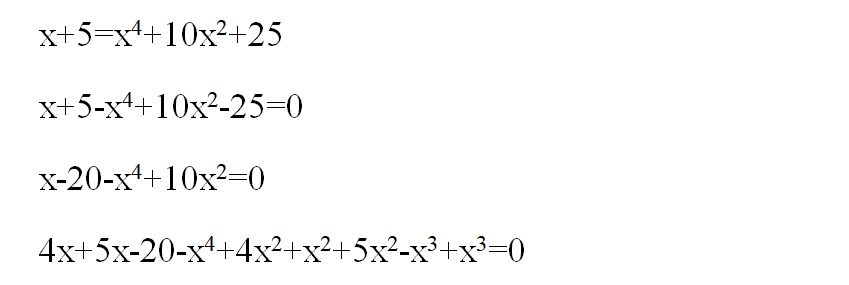
Начнём решение с нахождения области допустимых значений (в школе часто заменяют аббревиатурой ОДЗ), которая понадобится нам для исключения побочных корней уравнения.

Итак, ОДЗ: x >= -5

Возведём обе части уравнения в "квадрат":

-2

Перегруппируем слагаемые и вынесем общие множители:

-3

Далее вынесем скобки за скобки (это очень понятное и лаконичное название действия, которое мне нравится):

-4

Для красоты вынесем минус из второй скобки:

-5

Получим два квадратных уравнения:

-6

Найдём их корни:

-7

Выполнив подстановку полученных значений в исходное уравнение, становится ясно, что подходит только корни (2) и (3).

Ответ:

-8

И для наглядности график функции из которого видно, что пересечений с осью абсцисс будет действительно два:

-9

Ваш друг Alex

P.s. пишите условия задач в комментарии и я разберу их решение в следующих статьях!